一、单代号网络图
(一)基本概念
单代号网络图中,用圆圈或矩形作为一个节点表示一项工作,箭线只表示相邻工作之间的逻辑关系。单代号网络图中节点所表示的工作名称、持续时间和工作代号等应标注在节点内。

图1 单代号表示法
(二)单代号网络图的特点
1.工作之间的逻辑关系容易表达,且不用虚箭线,故绘图较简单;
2.网络图便于检查和修改;
3由于工作的持续时间表示在节点之中,没有长度,故不够形象直观;
4.表示工作之间逻辑关系的箭线可能产生较多的纵横交叉现象。
(三)单代号网络图的绘制规则
单代号网络图的绘制规则与双代号网络图基本相同,主要区别在于:
1.单代号网络图中不需要也不应该出现虚工作;
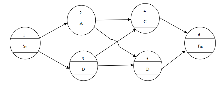
2.当网络图中有多项工作开始时,应增设一项虚拟的工作,作为网络图的起点节点(St),当网络图中有多项结束工作时,应增设一项虚拟的工作,作为网络图的终点节点(Fin)。如图2所示。

二、双代号时标网络图
(一)双代号时标网络计划
1.基本概念
时标网络计划是以时间坐标为尺度编制的网络计划。时标的时间单位应根据需要,可以是小时、天、周、月或季度等。时间可标注在计划表顶部,也可标注在底部,必要时还可在顶部和底部同时标注。
时标网络计划的工作以实箭线表示,自由时差以波形线表示,虚工作以虚箭线表示。当实箭线后有波形线且其末端有垂直部分时,其垂直部分用实线绘制;当虚箭线有时差且其末端有垂直部分时,其垂直部分用虚线绘制。
2. 时标网络计划图的特征
(1)清楚地标明计划的时间进程,一目了然、直观易懂;
(2)直接显示各项工作的开始时间、完成时间、自由时差、关键线路;
(3)易于确定同一时间的资源需要量;
(4)手绘图及修改比较麻烦。
3. 时标网络计划图的绘制要求
(1)宜按最早时间绘制。
(2)先绘制时间坐标表(顶部或底部、或顶底部均有时标,可加日历;时间刻度线用细线,也可不画或少画。
(3)实箭线表示工作,虚箭线表示虚工作,波线表示自由时差。
(4)节点中心对准相应的刻度线。
(5)工作箭线的长短反映其持续时间的长短。
4.时标网络计划图的绘制步骤
绘制时标网络图有两种:先算后绘、直接绘制。
(1)先算后绘
1)计算网络计划各工作的时间参数。
2)在有横向时间刻度的表格上确定每项工作最早开始时间的节点位置。
3)按各工作的持续时间长短绘制相应工作的实线部分。箭线一般沿水平方向画,其水平投影长度即该工作的持续时间。
4)用水平波形线将实线部分与其紧后工作的最早开始节点连接起来。波形线的水平投影就是工作的自由时差。
5)将时差为最小的工作由起点节点连至终点节点的线路,即为关键线路。在双代号时标网络图中,表现为自始至终不出现波形线的线路为关键线路。
(2)直接绘制
双代号时标网络图的绘制也可以直接按草图在时标表上绘制。
1)绘制时标计划表。
2)将起点节点定位在时标计划表的起始刻度上。如图1中的节点①。
3)按工作持续时间在时标计划表上绘制起始节点的外向箭线。如图4.26中A工作持续3天时间,以节点①为开始节点用实箭线在时标计划表上绘制外向箭线。箭线长度要与时标计划表上的刻度相对应。
4)每个节点必须在其所有内向箭线全部绘出后,定位在这些内向箭线最晚完成的实箭线末端。其他内向箭线长度不足以到达该节点者,用波形线补足。如图1中,工作H有两项紧前工作,E和F。节点⑧应与E工作的结束节点⑥同一个时间刻度,F工作箭线不足的部分用波形线补足。又如I工作有两项紧前工作,G和H,节点⑨应定位在最晚完成的G工作的箭线末端,H工作箭线不足节点⑨的部分用波形线补足。
5)用上述方法自左至右依次确定节点位置,直至终点阶段定位完成。


图1 早时标网络图直接绘制法