一、双代号网络图绘制规则
网络图中工作之间相互制约或相互依赖的关系称为逻辑关系,网络图必须正确地表达整个工程项目各工作开展的先后顺序及它们之间的逻辑关系。因此,绘制网络图时必须遵循一定的基本规则和要求。
绘制双代号网络图时,应注意以下几个方面:
(一)双代号网络图必须正确表达逻辑关系。
网络图中常见的一些逻辑关系及其表达方法见表1。
表1 双代号网络图中常见的各种逻辑关系的表达方法

(二)双代号网络图的绘制规则
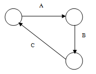
1.严禁出现循环线路,如图1。

图1 错误的循环线路
2.直接连接两个相邻节点之间的活动只能有一个,如图2。

图2 1、2两个节点表示三项工作(错误)
3.严禁出现双向箭头和无箭头的连线,如图3。
![0]U7_(BPJ8}797@CID_3YR3.png](http://p.ananas.chaoxing.com/star3/origin/ca6ed7b248fc7ddf7840cc7251b82e3c.png)
(a)双向箭头连线 (b)无箭头连线
图3 错误的画法
4.严禁出现没有箭尾节点和没有箭头节点的箭线,如图4。
![I_918{D]%7HJ(4APY4BX~WR.png](http://p.ananas.chaoxing.com/star3/origin/2b54d322a1e03d9780db3662fc33e45e.png)
(a)没有箭头节点的箭线 (b)没有箭尾节点的箭线
图4 错误的画法
5.双代号网络图中只有一个起始节点,只有一个终点节点。
根据《网络计划技术第2部分:网络图画法的一般规定》(GB/T13400.3-2009)的内容,节点编号的基本原则如下:节点都必须编号,其编号严禁重复,并应使每项工作的结束节点编号大于开始节点编号。
(1)每个节点都应编号;
(2)编号使用数字,但不使用数字0;
(3)节点编号应自左向右、由小到大;
(4)节点编号不能重复;节点编号可不连续。
6.严禁在箭线上引入或引出箭线,如图8。

(a)在箭线上引入箭线 (b)在箭线上引出箭线
图5 错误的画法
7.尽量避免箭线交叉。当交叉不可避免时,可以采用过桥法或指向法处理。其中,过桥法是用过桥符号表示箭线交叉,避免引起混乱的方法。指向法是在箭线交叉较多处截断箭线、添加虚线指向圈以指示箭线方向的方法。如图9所示。

(a)过桥法 (b)指向法
图6 箭线交叉的表示方法
8.当双代号网络图的某些节点有多条外向箭线或多条内向箭线时,为使图形简洁,可使用母线法绘制(但应满足一项工作用一条箭线和相应的一对节点表示),如图10所示。

图7 母线法绘图
(三) 虚箭线的作用
虚箭线不是一项正式的工作,而是为了正确清楚地表达逻辑关系而增设的。虚箭线的作用主要是帮助正确表达各工作之间的关系,避免逻辑错误。
(1)连接作用。
如图8(a)中C工作的紧前工作是A工作,D工作的紧前工作是B工作。若D工作的紧前工作不仅有B工作而且还有A工作,则A、D两项工作就要用虚箭线连接,如图8(b)。

图8(a)虚箭线的连接作用 图8(b)虚箭线的连接作用
(2)断路作用。
如图9(a)所示的A、B工作的紧后工作是C、D工作,如果A不是D的紧前工作,那么就要增加虚箭线切断A工作与D工作的联系,如图9(b)。

图9(a)虚箭线的断路作用 图9(b)虚箭线的断路作用
(3)在两项或两项以上的工作同时开始和同时完成时的应用。
在两项或两项以上的工作同时开始和同时完成时,必须引入虚箭线,以免造成混乱。如图13所示,通过虚箭线将同时开始或同时完成的工作区分开,以避免同时开始或同时完成的工作出现相同编号的情况。

图10(a)工作同时完成时虚箭线的作用 图10(b)工作同时开始时虚箭线的作用
(四)双代号网络图的绘制方法
(1)绘制没有紧前工作的工作,使它们具有相同的开始节点,以保证网络图中只有一个起始节点。
(2)依次绘制其他工作箭线。当所绘制的工作只有一个紧前工作时,将该工作直接画在其紧前工作的结束节点之后。
(3)当所绘制的工作有多个紧前工作时,按以下四种情况分别考虑:
1)如果在其紧前工作中存在一项只作为本工作紧前工作的工作,则将本工作直接画在该紧前工作结束节点之后;
2)如果在其紧前工作中存在多项只作为本工作紧前工作的工作,先将这些紧前工作的结束节点合并,再从合并后的节点开始,画出本工作;
3)如果其所有紧前工作都同时作为其他工作的紧前工作,先将它们的完成节点合并后,
再从合并后的节点开始,画出本工作;
4)如果不存在情况①、②、③,则将本工作箭线单独画在其紧前工作箭线之后的中部,然后用虚箭线将紧前工作与本工作相连。
(4)当各项工作箭线都绘制出来以后,应合并那些没有紧后工作箭线的箭头节点,以保证网络图只有一个终点节点。
(5)当确认所绘制的网络图正确后,即可进行节点编号。
在绘制网络图时,要始终记住绘图规则。网络图的绘制最重要的是要满足逻辑关系,当遇到关系比较复杂时,先画草图,然后要根据逻辑关系尝试进行调整,如箭线的位置及增加虚箭线等,经过整理后即可形成最终整齐、规范的网络图。