一、 建设工程项目进度控制概述
(一)进度控制的基本含义及目标
工程项目进度控制是指在既定的工期内,编制出最优的工程项目进度计划,在执行计划的过程中,经常检查工程实际情况,比较实际情况与进度计划的差异,若出现偏差,便分析偏差产生的原因以及对工期的影响程度,制定出必要的调整措施,修改原计划,不断地循环往复,直至工程竣工验收。
进度控制的实质就是合理安排资源供应,有条不紊的实施工程建设活动,纠正进度计划执行过程中的偏差,必要时调整进度计划,以实现合同约定的工期。工程项目进度控制的总目标是确保工程项目既定目标工期的实现,或者在保证工程质量和增加工程实际成本的条件下,适当缩短工期。
进度控制包括两重含义:一是进度计划的编制,以确定时间目标。通过项目结构分解,确定工程活动之间的逻辑关系和工作持续时间,确定各项活动的时间目标。二是工程进度的控制。综合考虑时间、成本、资源等因素,对进度计划的实施进行控制,以求获得工程项目的最低消耗和最大效益。
(二)进度控制的基本程序
工程项目进度控制是关于项目进展时序安排上的控制,项目进度控制的主要程序包括确定进度目标,编制进度计划、实施进度计划、监测和分析进度计划的实施情况、调整进度计划等。工程项目进度控制的整个程序如图所示。

图 1 工程项目进度控制程序
(三)项目进度计划系统
建设工程项目进度计划系统是由多个相互关联的进度计划组成的系统,它是项目进度控制的依据。根据工程项目进度控制的不同需要和不同用途,人们构建了多个不同的建设项目进度计划系统,如图所示。
图 2 建设项目进度计划系统
从图可以看出,按照建设项目参与方即管理主体的不同,建设工程项目进度计划可区分为业主方、设计方、施工方、监理方等不同主体所编制的不同种类的计划。这些计划既互相区别又有联系,从而构成了建设项目进度管理的计划系统。其作用是从不同层次上保证工程建设项目进度管理总体目标的顺利实现。
二、建设工程项目进度计划的编制和网络计划技术
(一)进度计划的编制
(1)进度计划的编制依据
1.经过审批的全套施工图及采用的各种标准图和技术资料。
2.工程的工期要求及开、竣工日期。
3.工程项目工作顺序及相互间的逻辑关系。
4.劳动定额及机械台班定额。
5.工程项目工作持续时间的估算。
6.工程条件的落实情况。
7.资源约束条件。
8.其它有关要求和资料,如工程合同。
(2)进度计划的编制程序
建设工程项目施工进度计划,是项目进度计划的重要组成部分,是施工方案在时间序列上的具体反映。项目的施工进度计划的编制程序如下:
1.收集编制依据
施工进度计划编制依据资料有施工方案、资源供应情况(资金、劳动力、主要设备、主要原材料等)、工期定额、合同工期、施工定额、设计图、施工规范、工程数量等。计划编制人员应视具体情况,有针对性地收集与项目有关的依据资料,使计划建立在可靠的基础上,并满足各方对项目工期的要求。
2.确定施工过程及其顺序
根据施工项目结构分解的要求,分别列出进度计划的工作内容,并根据施工部署及施工方案,分析各施工活动的工作逻辑关系。应视管理深度的需要,将项目划分为单项工程、单位工程、分部工程、分项工程,甚至是作业面。
3.计算工程量
按照上述划分好的施工过程,分别计算各子项目的工程数量,作为确定子项目工期的依据。
4.套用施工定额,确定施工过程的持续时间
确定了施工过程及其工程量之后,即可套用施工定额(当地实际采用的劳动定额及机械台班定额)、结合经验资料及工程实际情况,进行劳动量和机械台班量的计算,然后据此确定施工过程的持续时间。
5.绘制初步的施工进度计划
上述各项计算内容确定之后,即可编制施工进度计划的初步方案。施工进度计划的初步方案是依据已初步确定的各子项目施工顺序、施工工艺、工程数量及已具备的施工资源条件和施工能力,综合考虑项目的投资计划、主要材料及设备计划编制出来的。施工进度的初步计划应明确规定各子项目的开工、完工时间和持续时间。为了便于调整和优化,一般都用网络图来描述。
6.检查与调整施工进度计划
施工进度计划初步方案编出后,应根据业主和有关部门的要求、合同规定及施工条件等,先检查各施工过程之间的施工顺序是否合理、工期是否满足要求、劳动力等资源消耗是否均衡,然后再进行调整,直至满足要求,正式形成施工进度计划。总的要求是在合理的工期下尽可能地使施工过程连续施工,这样便于资源的合理安排。
(3)进度计划表示方法
编制建设工程项目的进度计划通常有文字说明和各种进度计划图表两种方式。但因为图表方式不仅表达效果直观,并且易于在图表上直接进行记载和适时监控,因而进度计划图表是表达建设工程项目进度计划最主要的方式。描述方法主要有表格法、横道图法和网络图法三类。
1.表格法
传统的进度计划主要是用表格来描述的。虽然各种进度计划表的内容上不尽相同,形式上略有差异,但表1基本能够反映一般的进度计划表的格式和内容。整个表包括两大部分:左边是项目的基本信息,包括项目编号、名称、工程量等;右边是该项目工期的基本信息,包括用年、月、日等日期单位描述该项目开工日期、完工日期、延续天数等时间参数。
表 1 工程项目总进度计划表

2.横道图法
横道图又称甘特图(Gatt),是1900年前后,由美国的兵工厂顾问享利·L·甘特(Henry. L. Gantt)发明的。这是最早对项目进度计划安排的科学表达方式。其基本形式如图3所示,横道图的左边是工作及其简要说明,一般包括工作序号、工作名称、工作的持续时间(或工程数量)等;右边是按时间单元(年、季、月或周、日,甚至可以是小时)划分的网格,每项工作的持续时间用横道线进行绘制,使每项工作的起止时间均可由横道线的两个端点来表示。
图 3 某基础工程进度计划横道图
从上图可以看出横道图实质上是图与表相结合的表达形式。横道图的优点是简单、明了、直观、易懂,且较易编制。横道线与时间坐标相对应,故各项工作的开始时间、持续时间、工作进度、总工期等一目了然。其缺点主要是在描述较复杂的进度计划时,不能全面清晰地反映出各项工作相互之间的关系和影响,如影响项目总工期的关键工作有哪些?哪些工作存在一定的机动时间?即无法直接进行进度计划的各种时间参数的计算,不能表明什么是影响工期的关键因素,不便于进行进度计划的调整与优化。因此,横道图更为适合进行简单、粗略的进度计划编制。
3.网络图法
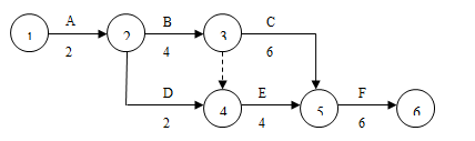
网络图法是以箭线和节点组成的有序有向的网状图形来表示项目进度计划的一种方法,如图4所示。它以流程图为基础,将各工作(或活动)按其先后顺序及相互之间的制约关系,用圆圈和箭线从左至右进行绘制。

图 4 某施工项目网络图
网络计划的优点是把项目过程中的各有关工作组成了一个有机整体,因而能全面而明确地反映出各工作之间的相互制约和相互依赖的关系。它可以进行各种时间参数的计算,能在活动繁多、错综复杂的计划中找出影响工程项目进度的关键工作,便于管理人员集中精力抓住项目实施中的主要矛盾,保证进度目标的完成;还可以利用网络计划反映出来的时差,更好地配置各种资源,达到节省人力、物力和降低成本的目的;同时网络图具有一套完整的优化调整方法,且借助计算机能完成各种优化调整及实施中的控制。
三、网络计划技术
网络计划技术是以网络图的形式来描述项目进度计划、资源配置计划的图形工具,主要用于项目进度计划的编制和进度控制。在项目进度控制中,用于掌握项目进度情况,查明项目延期的原因和责任并制定纠正措施。
我国于1992年颁布了《工程网络计划技术规程》(JGJ/T1001-91),为网络计划技术的应用与发展提供了一个可以遵循的技术标准。网络图有多种表达形式,最常见的是双代号网络图和单代号网络图。根据工程实际的需要,还派生出其他的网络计划,如时标网络计划、搭接网络计划等。
双代号网络图是指网络图的各项工作由节点表示开始和结束的瞬间,箭线表示工作。每项工作由前后两个节点的标号来表示,故称双代号。如图(a)所示。
![3R[]~7QFAI[]O9}F)U7$$EV.png](http://p.ananas.chaoxing.com/star3/origin/d43fdf94c7bb97b193b30cb4200b1f76.png)
图(a)双代号网络图 图(b)单代号网络图
单代号网络图是指网络图的各项工作由节点表示,箭线表示各项工作之间的逻辑关系。如图(b)所示。