主要内容
◆模型的背景知识
◆模型的假设
◆市场投资组合的概念
◆资本资产定价模型
模型的背景知识
◆资本资产定价模型,即The Capital Asset Pricing Model,CAPM,是金融领域专门对资产和资本进行定价所使用的模型,由于资产的规模千差万别,因此我们无法决定资产的绝对价格,而只能确定资产的相对价格,即资产的收益率,这就是为什么模型中没有出现表示价格的字母p,而出现的是表示期望收益率的E(r),我们通过确定资产的期望收益,间接确定资产的价格。
◆该模型是一项均衡模型,因为无论对商品还是资产进行定价,我们都只能依据该商品或资产在均衡状态下的情况进行确定,比如一瓶矿泉水售价是2元,但是在沙漠里一瓶矿泉水可以卖1000元,作为矿泉水企业来说,应该把价格定在2元还是1000元?当然是2元,因为两元的价格是市场均衡的价格。
◆资本资产定价模型是现代金融理论的奠基石,它对资产风险与其期望收益之间的关系给出了精准的预测,不仅为评估各项投资提供了一个基准的收益率,此外还帮助我们对没有上市交易资产的期望收益做出合理的估计。1952年哈里马科维兹提出了资产组合理论,12年后夏普、林特纳、简莫森将其发展成资本资产定价模型。
模型的假设
由于该模型是一个均衡模型,需要做一些假设,这些假设为模型构造了一个均衡的环境。
具体假设如下:
(1)市场上存在大量投资者,每个投资者的财富相对于所有投资者的财富综合而言微不足道。
(2)所有投资者只考虑一个相同的投资持有期。
(3)投资者的投资范围仅限于金融资产。
(4)不存在证券交易费用和税赋。
(5)投资者是理性的,追求均值-方差最小化,即所有投资者都运用马科维兹的资产选择模型。
(6)存在同质期望,即所有投资者采用相同的方法进行证券分析并对经济前景的看法一致。这使得所有投资者关于有价证券未来收益率的期望分布具有一致性估计。
市场投资组合的概念
◆考虑以上假设最简单的方式就是,世界上只有一个基金经理,仅由他一个人构建最优风险资产组合,这样每个投资者都依据他提供的比率进行投资,这样在均衡状态下,一定会有每一个人的投资比率都相等,且某风险资产的投资比例就等于该风险资产的市值与全部风险资产总市值的比率。
◆为了简单起见,我们将风险资产定为股票,当我们把单个投资者的资产组合加总起来时,借与贷相互抵消,其加总起来的风险资产组合的价值等于整个经济中的财富,就是市场投资组合,通常用M表示,它包括了所有的股票,而且每种股票在市场投资组合中所占的比例等于这只股票的市场价值占所有股票市场价值的比例。
资本资产定价模型

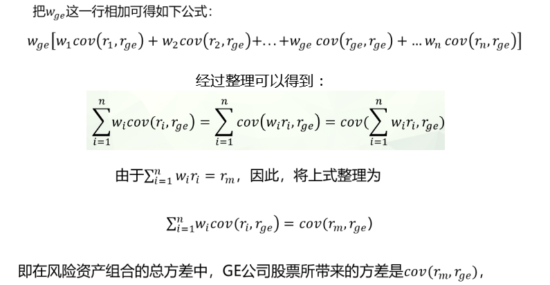
1、GE公司股票对市场投资组合M期望收益的贡献

2、GE公司股票对市场投资组合M风险的贡献




小 结
本章节主要探讨了如下内容:
◆资本资产定价模型的背景和基本功能
◆分析了市场组合M的理论假设和均衡的含义
◆推导出了资本资产定价模型

