蠕变和回复实验
上一节
下一节
7.4.1应变史

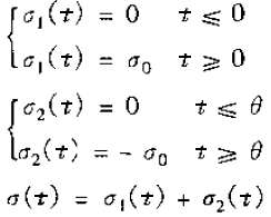
蠕变和回复实验中的应力史

这可看作两步应力的情况


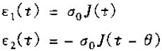
若材料是线性粘弹性的,则根据加和性原理
![]()
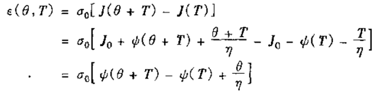
若采用T=t-θ,也即回复的时间。这样

7.4.2回复曲线


7.4.3粘弹性固体的蠕变回复
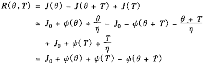
回复曲线,对长蠕变:


这就是长蠕变回复后得到的曲线与蠕变柔量等同
对短蠕变,长时间回复后,T 趋近于无穷大

7.4.4粘弹性液体的蠕变回复

在长时间回复后
![]()
分析粘弹性液体的回复曲线



