应变张量
上一节
下一节
2.3.1 应变张量

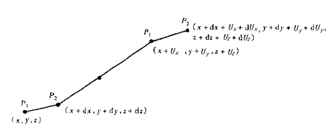
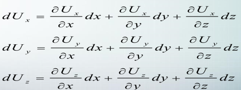
变形前后P1和P2的相对位置发生变化
![]() | ![]() | ![]() |



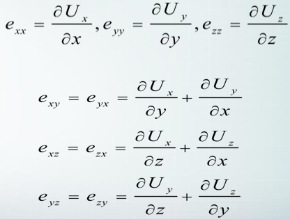
六个应变分量的上述定义叫工程应变,下标相同的分量是伸长或压缩应变分量,下标不同的分量是切应变分量。对任意的应变,可以用上述六个应变分量来描述:

称为应变张量,张量表示法中的切应变分量定义为工程应变的1/2
2.3.2 简单实验中的应变张量
1.各向同性的压缩

2.简单拉伸实验

3.简单剪切





