线性粘性变形的特点
上一节
下一节

图4.2线性粘性变形
(1)变形的时间依赖性
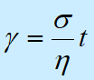
在线性粘性流动中,达到稳定态后。剪切速率不变,即
![]()
如考虑变形,则

即流体的变形随时间不断发展,即时间依赖性
(2)流变变形的不可回复性
这是粘性变形的特点,其变形是永久性的,称为永久变形。如图4.2所示,当外力移除后,变形保持不变(完全不回复)。聚合物熔体发生流动,涉及到分子链之间的相对滑移,当然,这种变形是不能回复的。
(3)能量散失
外力对流体所作的功在流动中转化为热能而散失,这一点与弹性变形过程中储能完全相反。
(4)正比性
线性粘性流动中应力与应变速率(剪切速率)成正比,粘度与应变速率无关。

