应力张量
上一节
下一节
2.2.1应力的分量表示法和应力张量
![]() |
|
采用应力的分量表示法可完全地描述一个应力的性质:应力方向、大小、作用面。应力分量用两个下标表示。第一个表示该应力作用面,第二个表示应力方向。
作用力的方向与作用面垂直,被称为应力的法向分量(Normal component),即两个下标相同的分量为法向分量。
作用力的方向与作用面平行,这种分量被称为应力的切向分量(Shear component)

应力张量中只有六个是独立的,只要知道这六个应力分量,就能完全描述材料的受力状态。
2.2.2 简单实验中的应力张量
1、拉伸实验

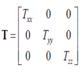
2、各向同性的压缩
![]() | 在各向同性压缩实验中,应力在任何方向都与作用面垂直而且大小相同,即在笛卡尔坐标中: txx=tyy=tzz=p,其他切应力分量均为零。 |
3、简单剪切
![]() |
|


2.2.3 接触力(内力)
接触力是物体内的一部分通过假想的分隔面作用在相邻部分上的力,也即外力向物体内传递

分隔面与x轴垂直


q面与x平面的面积不同,q面的面积为A/cosq


tq分解为:tq的法向分量;tq的剪切分量







