逻辑回归(Logistic Regression)是机器学习中的一种分类模型,逻辑回归是一种分类算法,虽然名字中带有回归。由 于算法的简单和高效,在实际中应用非常广泛。
要想掌握逻辑回归,必须掌握两点:
逻辑回归中,其输入值是什么
如何判断逻辑回归的输出
输入
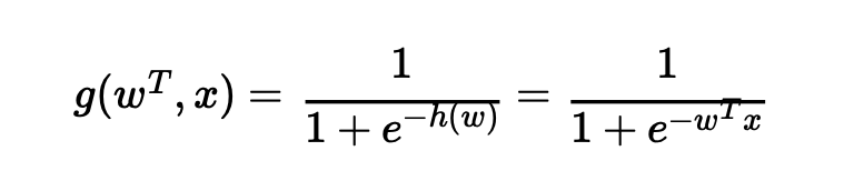
逻辑回归的输入就是一个线性回归的结果。
激活函数

判断标准
回归的结果输入到sigmoid函数当中
输出结果:[0, 1]区间中的一个概率值,默认为0.5为阈值

逻辑回归api介绍
sklearn.linear_model.LogisticRegression(solver='liblinear', penalty=‘l2’, C = 1.0) solver可选参数:{'liblinear', 'sag', 'saga','newton-cg', 'lbfgs'},
默认: 'liblinear';用于优化问题的算法。 对于小数据集来说,“liblinear”是个不错的选择,而“sag”和'saga'对于大型数据集会更快。
对于多类问题,只有'newton-cg', 'sag', 'saga'和'lbfgs'可以处理多项损失;“liblinear”仅限于“one-versus- rest”分类。
penalty:正则化的种类
C:正则化力度

