目录

  • 1 第一单元
    • 1.1 控制理论在工程中的应用和发展
    • 1.2 控制系统的基本概念
    • 1.3 控制工程在机械制造工业中的应用
    • 1.4 控制系统的动态数学模型概述
  • 2 第二单元
    • 2.1 基本环节的数学模型
    • 2.2 数学模型的线性化
    • 2.3 拉氏变换及反变换
    • 2.4 传递函数及简单环节的传递函数
    • 2.5 系统函数方块图及其简化
    • 2.6 系统信号流图及梅逊公式
    • 2.7 受控机械对象数学模型及绘制实际机电系统的函数方块图
  • 3 第三单元
    • 3.1 时域响应以及典型输入信号
    • 3.2 一阶系统的瞬态响应
    • 3.3 二阶系统的瞬态响应
    • 3.4 时域分析性能指标
    • 3.5 时域瞬态响应的实验方法
  • 4 第四单元
    • 4.1 机电系统频率特性的概念及其基本实验方法
    • 4.2 频率特性的几何表示方法
    • 4.3 乃氏图
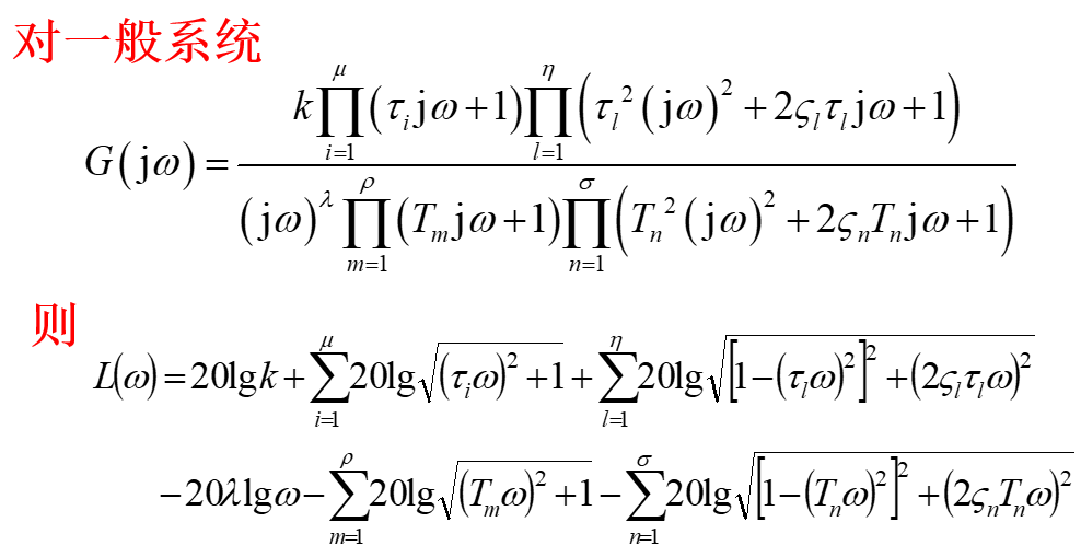
    • 4.4 伯德图
    • 4.5 典型环节与开环系统的频率特性
    • 4.6 由频率特性曲线求传递函数
    • 4.7 由单位脉冲响应求系统频率特性
    • 4.8 系统闭环频率特性
    • 4.9 机械系统动刚度的概念
  • 5 第五单元
    • 5.1 系统稳定性的基本概念
    • 5.2 系统稳定的充要条件
    • 5.3 代数稳定性判据
    • 5.4 乃奎斯特稳定性判据
    • 5.5 乃奎斯特稳定判据分析系统稳定性
    • 5.6 伯德图判断系统稳定性
    • 5.7 稳定裕度
    • 5.8 控制系统频域设计
    • 5.9 控制系统相对稳定性
  • 6 第六单元
    • 6.1 稳态误差的基本概念
    • 6.2 输入及干扰引起的稳态误差
    • 6.3 减小稳态误差的途径及动态误差系数
  • 7 第七单元
    • 7.1 系统的性能指标
    • 7.2 系统的校正概述
    • 7.3 串联校正
    • 7.4 反馈校正
    • 7.5 用频率法对控制系统进行综合与校正
    • 7.6 控制系统综合校正举例
  • 8 第九单元
    • 8.1 概述
    • 8.2 相平面法
    • 8.3 描述函数法
  • 9 第十单元
    • 9.1 实验一
    • 9.2 实验二
    • 9.3 复习
典型环节与开环系统的频率特性

典型环节的伯德图