机电系统频率特性的概念及其基本实验方法
上一节
下一节
前面各章的内容考察了阶跃信号或者斜坡信号等输入信号的系统响应。
本章将研究系统对正弦输入信号的稳态响应。
线性定常系统对正弦输入信号的响应是一个具有相同频率的正弦信号,只是幅值和相角与正弦输入信号有所不同。这种不同(变化)是输入信号频率的函数。
本章将介绍非常重要而且实用的系统分析和设计方法——频率响应法
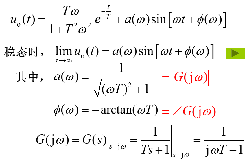
系统的频率响应定义为:系统对正弦输入信号的稳态响应。正弦信号是一种独特的输入信号,在其激励下,系统的输出信号及内部各节点的信号,在系统达到稳态时均为正弦信号,与输入信号相比,它们频率相同,只有幅值和相角不同。
例如:

因此,系统的稳态输出信号只取决于幅值和相角。
频率响应方法的一个突出优点是:由于可以方便地得到具有各种频率和幅值的正弦输入信号,因此我们能够用试验的手段精确地得到系统的频率响应,这是一种既可靠又不复杂的控制系统试验分析方法。当系统传递函数未知时,可以用试验的方法,通过测量频率响应来推导系统的传递函数。在频率域内进行系统设计时,还能够有效控制系统带宽,从而达到控制噪声和干扰的目的。
另一个优点是:只要用jw来替代复变量s,就能够得到传递函数G(s)的系统频率特性函数G(jw)。G(jw)是一个以w为自变量的复函数,因而包含了幅值和相角两个元素。我们经常用图形或曲线来表示G(jw)的幅值和相角随频率变化的情况,这些图形和曲线能够深刻地揭示控制系统分析和设计的内涵。
系统三种描述方法的关系图:
本节必看视频:

