系统结构图(框图、方块图)模型可以直观而完整地表示受控变量与输入量之间的关系。但是,对于复杂关联关系的系统而言,框图的化简是一项琐碎甚至难以完成的任务。
描述系统变量之间关联关系的另一种方法是由梅逊(Mason)提出的,以节点间的线段为基本的描述手段。这种基于线段的方法就是信号流图法。优点在于:对流图进行化简和变换,就可以利用流图增益公式,方便地给出系统变量之间的信号传递关系。
信号流图由节点及连接节点的有向线段构成,是一组线性关系的图示化表示。
1.信号流图及其术语
信号流图由节点及连接节点的有向线段构成,是一组线性关系的图示化表示。
反馈理论关注的要点是系统中信号的变换和流向,因此信号流图特别适用于反馈控制系统。
信号流图的基本要素是连接彼此关联的节点的具有单一方向的线段,称为支路。
表示输入、输出信号的点称为节点,既有输入也有输出的节点称为混合节点。
表示从一个信号(节点)到另一个信号(节点)的,由一条或多条相连的支路构成的路径,称为通路。
表示从起始节点和终止节点为同一节点,且与其他节点最多相交一次的封闭通路,称为回路。
若两个回路没有公共节点,称为不接触回路。
(1)节点
(2)支路
(3)输入节点与输出节点

(4)混合节点

(5)通路
(6)回路
2.信号流图的绘制
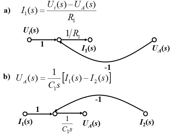
(1)由系统的微分方程绘制信号流图
由系统的微分方程绘制信号流图时,应先进行拉氏变换,将微分方程变换为s的代数方程后再绘制信号流图。
绘制信号流图时,首先对系统的每个变量指定一个节点,并按照系统中变量的因果关系,从左往右顺序排列;再把代数方程中变量之间的关系作为支路增益,用支路将各节点变量准确连接,可得到系统的信号流图。
(2)由系统结构图(框图、方块图)绘制信号流图
由系统结构图绘制信号流图时,结构图中的信号线、比较点和引出点都成为节点,方框成为支路,框中的传递函数成为相应支路的支路增益。于是结构图就变换成相应的信号流图。
注意:信号流图中节点的输出信号等于该节点诸信号的叠加,所以在由结构图转化为信号流图时,要注意引出点与比较点的画法,比较点之前的引出点必须单独设置节点。






3.梅逊增益公式
信号流图的输入节点(输入变量)到输出节点(输出变量)的系统传递函数,可直接用梅逊公式求取。
梅逊公式:
示例:
1.
2.

本节必看视频(与上节必看视频相同,本节内容包含在其中):

