通常用微分方程来描述包含自动控制环节的动态物理系统。
引入拉氏变换之后,求解微分方程简化为求解代数方程。
由于控制系统着眼于对特定变量的控制,因此,必须将控制变量和受控变量联系起来,并弄清楚它们之间的关系。
传递函数表示的正是输入变量和输出变量之间的这种关系。可见,传递函数时控制工程的一个重要分析工具。它也为表示系统变量之间相互关系的其他图示化模型提供了便利。
系统结构图模型(方块图)就是这样一种广泛应用于控制工程的图示化模型,是控制系统的动态数学模型的图解形式。
结构图由单向的功能方块组成,这些方块代表了变量的传递函数。
控制系统的框图包含四种基本单元:信号线、引出点(测量点)、比较点(或综合点)和方框(方块或环节)。系统框图可按照如下步骤进行绘制:
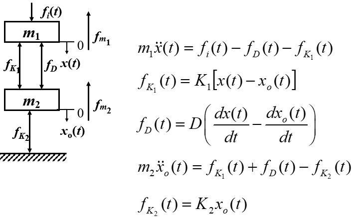
(1)考虑负载效应,建立系统各元部件的微分方程;
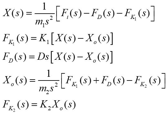
(2)对各微分方程进行拉氏变换,写出其传递函数并画出响应的环节单元和比较点单元;
(3)按系统中各变量的传递顺序,依次将各元件的框图连接起来;置系统的输入变量于左端,输出变量于右端,得到系统的框图(方块图)。
1.框图的基本单元
(1)信号线
(2)信号引出点(测量点)
(3)比较点(综合点)
(4)函数方块(环节)
任何系统都可以由信号线、函数方块、信号引出点及求和点组成的方框图表示。
2.示例
3.框图(方块图)简化
(1)串联
(2)并联
(3)反馈
4.主要的结构图(方块图)简化规则:

结构图中方块之间的基本连接方式有串联、并联、反馈三种。其相应的基本运算法则为:
(1)串联框图的等效传递函数等于各个方块传递函数的乘积;
(2)并联框图的等效传递函数等于各个方框传递函数的代数和;
(3)反馈连接的等效传递函数为
5.示例
求解系统的传递函数
本节必看视频(上一节必看视频包含本节部分内容,结合上一节必看视频学习):
本节选看视频:

