本章包括
2.1基本环节的数学模型:介绍一些基本的机械、电气、机电系统的数学模型建立。
2.2数学模型的线性化:存在非线性,而本课程经典控制理论主要涉及连续线性,转变为线性的才可以进行分析,所以进行线性化。
2.3拉氏变换与反变换:经典控制理论应用频域法、复域法,不是在时间域内分析。需要通过拉氏变换,原函数转变为象函数,得到传递函数,才能进行分析。
2.4传递函数:基于传递函数的数学模型,以及典型环节的传递函数,需要熟悉这些。
2.5系统函数的方框图:用图比较直观,基于传递函数的方框图。
2.6信号流图和梅逊公式:与方框图是对应关系。
2.7受控机械对象的数学模型与绘制系统的函数方块图。
基本环节:受控对象一般是机械系统,一般上可以抽象为质量-弹簧-阻尼系统的力学模型,控制一般使用电路、计算机来控制,电路的数学模型建立,执行机构一般用电动机,使得电信号转变为机械信号,这些是基本环节。
主要分析工具:拉氏变换与拉氏反变换,本质上是应用数学的内容。
经典控制的数学基础:传递函数,是在拉氏变换的基础上形成的。
控制系统的图形表示:两种,一种是函数方块图,必须掌握;信号流图。
实际机电系统的传递函数及方块图:把实际物理系统的函数方块图画出来。
根据受控过程自身遵循的物理规律,可以建立描述物理系统动态特性的微分方程。这种方法可以应用于机械系统、电气系统、流体系统和热力学系统等。
1.质量-弹簧-阻尼系统
机电控制系统的受控对象是机械系统,可抽象为质量-弹簧-阻尼系统。
在“组合机床动力滑台及其力学模型”中,输入是fi(t),输出时yo(t),下标i代表input,表示输入,o代表output,代表输出。
控制系统微分方程的列写:
机械系统中以各种形式出现的物理现象,可简化为三种元件:质量、弹簧、阻尼。
质量:
弹簧:
阻尼:
机械平移系统:
当外力作用于系统时,系统将产生运动。写出外力与质量块的位移之间的微分方程。
弹簧-阻尼系统:
机械旋转系统:
2.电路系统
电气元件:电阻、电容、电感等。
根据基尔霍夫定律:
3.电动机
电动机是机电系统中的常用执行部件。
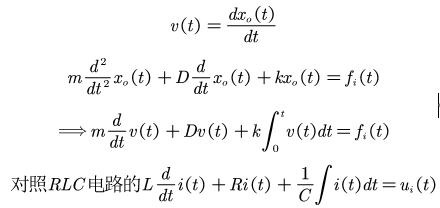
为了进一步揭示机械系统和电气系统微分方程之间的相似性,我们用质量块的位移速度作为变量,得到如下:
可以见到,上述机械系统和电气系统的方程是一致的,速度和电流在方程中是等效的变量,称为相似变量,上述两个系统也就称为相似系统。
在系统建模中,相似系统这一概念的作用巨大,速度-电流显示,也可以说力-电压相似,是一种合乎自然的相似关系,将电气系统和机械系统中相似的跨越型变量联系在一起。同理,不同的系统建模,也可以得到速度-电压相似,和力-电流相似。
电气、机械、热力和流体等系统中,都存在相似系统,它们具有相似的时间响应解。由于存在相似系统及相似的解,分析人员可以将一个系统的分析结果,推广到具有相同微分方程模型的其他系统。所学的电气系统的知识,可以很快推广到机械、热力和流体等系统。
4.建立数学模型的一般步骤
系统微分方程是描述控制系统动态性能的一种数学模型。建立系统微分方程的一般步骤:
(1)确定系统和各源部件的输入量和输出量;
(2)对系统中每一个元件列写出与其输入、输出量有关的物理的方程;
(3)对上述方程进行适当的简化,比如略去一些对系统影响小的次要因素,对非线性源部件进行线性化等;
(4)从系统的输入端开始,按照信号的传递顺序,在所有元部件的方程中小觑中间变量,最后得到描述系统输入与输出关系的微分方程;
(5)对求出的系统微分方程进行标准化处理。即将与输出有关的各项放在等号左侧,将与输入有关的各项放在等号右侧;等号左右侧均按降幂排列;将各项系数规划为具有一定物理意义的形式。
5.小结
本节必看视频:

