当应答器进入阅读器产生的交变磁场时,应答器的电感线圈上就会产生感应电压。当距离足够近,应答器天线电路所截获的能量可以供应答器芯片正常工作时,阅读器和应答器才能进入信息交互阶段。

1. 应答器线圈感应电压的计算
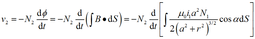
应答器线圈上感应电压的大小和穿过导体所围面积的总磁通量的变化率成正比。感应电压可表示为


线圈位置和磁感应强度B的关系


阅读器线圈和应答器线圈之间的耦合像变压器耦合一样,初级线圈(阅读器线圈)的电流产生磁通,该磁通在次级线圈(应答器线圈)产生感应电压。因此,也称电感耦合方式为变压器耦合方式。这种耦合的初、次级是独立可分离的,耦合通过空间电磁场实现。
应答器线圈上感应电压的大小和互感大小成正比,互感是两个线圈参数的函数,并且和距离的三次方成反比。因此,应答器要能从阅读器获得正常工作的能量,必须要靠近阅读器,其贴近程度是电感耦合方式RFID系统的一项重要性能指标,也称为工作距离或读写距离(读距离和写距离可能会不同,通常读距离大于写距离)。
2. 应答器谐振回路端电压的计算


由于L2,C2回路的谐振频率和阅读器电压v1的频率相同,也就是和v2的频率相同,因此电路处于谐振状态,所以有

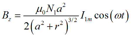
距离阅读器电感线圈为r处的磁感应强度值

3. 应答器直流电源电压的产生

1. 整流与滤波
天线电路获得的耦合电压经整流电路后变换为单极性的交流信号,再经滤波电容Cp滤去高频成分,获得直流电压。滤波电容Cp同时又作为储能器件,以获得较强的负载能力。

2. 稳压电路
滤波电容Cp两端输出的直流电压是不稳定的,当应答器(卡)与阅读器的距离变化时,随应答器线圈L2上耦合电压的变化而变化,而应答器内的电路需要有较高稳定性的直流电源电压,因此必须采用稳压电路。
4. 负载调制
在RFID系统中,应答器向阅读器的信息传输采用负载调制技术。
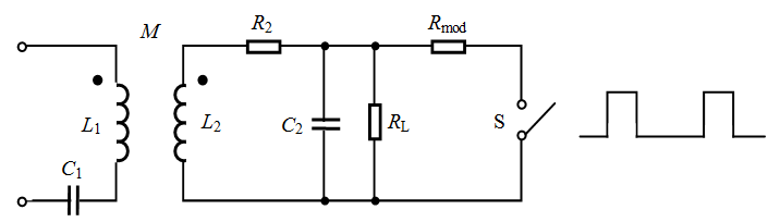
1. 耦合电路模型

耦合系数k是反映耦合回路耦合程度的重要参数

2. 互感耦合回路的等效阻抗关系
图(b)中初级和次级回路的电压方程可写为



由于Zf1是互感M和次级回路阻抗Z22的函数,并出现在初级等效回路中,故Zf1称为次级回路对初级回路的反射阻抗,它由反射电阻Rf1和反射电抗Xf1两部分组成,
即Zf1 = Rf1+j Xf1。
类似地,Zf2称为初级回路对次级回路的反射阻抗,由反射电阻Rf2和反射电抗Xf2组成,即Zf2 = Rf2 + j Xf2。
这样,初、次级回路之间的影响可以通过反射阻抗的变化来进行分析。

耦合回路的等效电路
3. 电阻负载调制
负载调制是应答器向阅读器传输数据所使用的方法。在电感耦合方式的RFID系统中,负载调制有电阻负载调制和电容负载调制两种方法。
电阻负载调制的原理电路如图所示,开关S用于控制负载调制电阻Rmod的接入与否,开关S的通断由二进制数据编码信号控制。

二进制数据编码信号用于控制开关S。当二进制数据编码信号为1时,设开关S闭合,则此时应答器负载电阻为RL和Rmod并联;当二进制数据编码信号为0时,开关S断开,应答器负载电阻为RL。所以在电阻负载调制时,应答器的负载电阻值有两个对应值,即RL(S断开时)和RL与Rmod的并联值RL//Rmod(S闭合时)。显然,RL//Rmod小于RL。

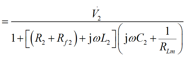
1)次级回路等效电路中的端电压
设初级回路处于谐振状态,则其反射电抗Xf2 = 0


RLm为负载电阻RL和负载调制电阻Rmod的并联值。当进行负载调制时,RLm<RL,因此电压VCD下降。在实际电路中,电压的变化反映为电感线圈L2两端可测的电压变化。
该结果也可从物理概念上获得,即次级回路由于Rmod的接入,负载加重,Q值降低,谐振回路两端电压下降。
2)初级回路等效电路中的端电压
由次级回路的阻抗表达式

得知在负载调制时Z22下降,可得反射阻抗Zf1上升(在互感M不变的条件下)。若次级回路调整于谐振状态,其反射电抗Xf1=0,则表现为反射电阻Rf1的增加。
Rf1不是一个电阻实体,它的变化体现为电感线圈L1两端的电压变化,即等效电路中端电压VAB的变化。在负载调制时,由于Rf1增大,所以VAB增大,即电感线圈L1两端的电压增大。由于Xf1=0,所以电感线圈两端电压的变化表现为幅度调制。
3)电阻负载调制数据信息传输的原理
通过前面的分析,电阻负载调制数据信息传输的过程如图所示。应答器的二进制数据编码信号通过电阻负载调制方法传送到了阅读器,电阻负载调制过程是一个调幅过程。

4. 电容负载调制
电容负载调制是用附加的电容器Cmod代替调制电阻Rmod。其中,R2是电感线圈L2的损耗电阻。

分析次级和初级等效回路的端电压可知:电容Cmod的接入使应答器边的谐振回路失谐,因而电感线圈L2两端的电压下降,电感线圈L1两端的电压增加。
电容负载调制时,数据信息的传输过程基本同图所示,只是阅读器线圈两端电压会产生相位调制的影响,但该相位调制只要能保持在很小的情况下,就不会对数据的正确传输产生影响。

