1. 应答器天线电路的连接
1.1 MCRF355和MCRF360芯片的天线电路
Microchip公司的13.56MHz应答器(无源射频卡)芯片MCRF355和MCRF360的天线电路接线示意图如图所示。

当Ant.B端通过控制开关与Vss端短接时,谐振回路与工作频率失谐,此时应答器芯片虽然已处于阅读器的射频能量场之内,但因失谐无法获得正常工作所需能量,处于休眠状态。
当Ant.B端开路时,谐振回路谐振在工作频率(13.56 MHz)上,应答器可获得能量,进入工作状态。
1.2 e5550芯片的天线电路
e5550是工作频率为125kHz的无源射频卡芯片,其天线电路的连接比较简单,如图所示,电感线圈和电容器为外接。除此之外,e5550芯片还提供电源(Vdd和Vss)和测试(Testl,Test2,Test3)引脚,供测试时快速编程和校验,在射频工作时不用。

从上面两例可以看到,无源应答器的天线电路多采用并联谐振回路。从后面并联谐振回路的性能分析中可以知道,并联谐振称为电流谐振,在谐振时,电感和电容支路中电流最大,即谐振回路两端可获得最大电压,这对无源应答器的能量获取是必要的。
2. 并联谐振回路
1. 电路组成与谐振条件
串联谐振回路适用于恒压源,即信号源内阻很小的情况。如果信号源的内阻大(采用恒流源),应采用并联谐振回路。

(a)中并联回路两端间的阻抗为

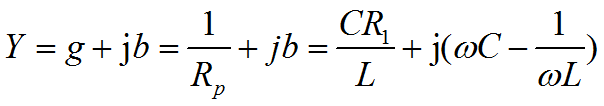
可得另一种形式的并联谐振回路,如(b)所示。导纳Y可表示为

当并联谐振回路的电纳b=0时,回路两端电压
![]()
由b=0,可以推得并联谐振条件为

2. 谐振特性
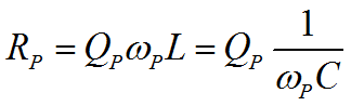
(1)并联谐振回路谐振时的谐振电阻Rp为纯阻性。 并联谐振回路谐振时的谐振电阻Rp为



在谐振时,并联谐振回路的谐振电阻等于感抗值(或容抗值)的Qp倍,且具有纯阻性。
(2)谐振时电感和电容中电流的幅值为外加电流源的Qp倍。
3. 谐振曲线和通频带
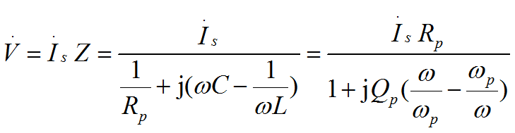
并联谐振回路的电压

并联谐振回路谐振时的回路端电压


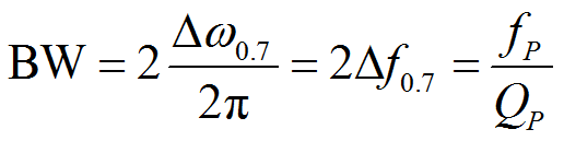
并联谐振回路的通频带带宽为

4. 加入负载后的并联谐振回路

考虑Rs和RL后的并联谐振回路

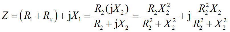
3. 串、并联阻抗等效互换
为了分析电路的方便,经常需要用到串、并联阻抗等效互换。所谓“等效”就是指在电路的工作频率为f时,从图的AB端看进去的阻抗相等。




串联回路的品质因数


