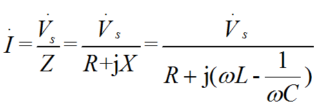
从能量和信息传输的基本原理来说,射频识别技术在工作频率为13.56 MHz和小于135kHz时,基于电感耦合方式,在更高频段基于雷达探测目标的反向散射耦合方式。电感耦合方式的基础是电感电容谐振回路和电感线圈产生的交变磁场,是射频卡工作的基本原理。反向散射耦合方式的理论基础是电磁波传播和反射的形成,用于微波电子标签。这两种耦合方式的差异在于所使用的无线电射频的频率不同和作用距离的远近,但相同的都是采用无线电射频技术。实现射频能量和信息传输的电路称为射频前端电路,简称为射频前端。
1. 阅读器天线电路的选择
下图所示为3种典型的天线电路。在阅读器中,由于串联谐振回路电路简单、成本低,激励可采用低内阻的恒压源,谐振时可获得最大的回路电流等特点,因而被广泛采用。

2.串联谐振回路
2.1 电路组成

R1是电感线圈L损耗的等效电阻,Rs是信号源的内阻,RL是负载电阻,回路总电阻值R=R1+Rs+RL
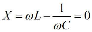
2.2 谐振及谐振条件



串联回路的谐振条件

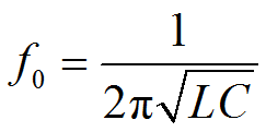
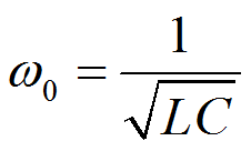
由此可以导出回路产生串联谐振的角频率和频率分别为

谐振回路的特性阻抗

2.3 谐振特性
串联谐振回路具有如下特性。
谐振时,回路电抗X=0,阻抗Z=R为最小值,且为纯阻。
谐振时,回路电流最大,且与电压同相。
电感与电容两端电压的模值相等,且等于外加电压的Q倍。
谐振时电感L两端的电压为

电容C两端的电压为

Q称为回路的品质因数,是谐振时的回路感抗值(或容抗值)与回路电阻值R的比值

2.4 能量关系
设谐振时瞬时电流的幅值为 ,则瞬时电流为
![]()
电感L、电容C上存储的瞬时能量


电感L和电容C上存储的能量和为

w是一个不随时间变化的常数,说明回路中存储的能量保持不变,只在线圈和电容器间相互转换。
从能量的角度看,品质因数Q可表示为

2.5 谐振曲线和通频带
1)谐振曲线
回路中电流幅值与外加电压频率之间的关系曲线,称为谐振曲线。

回路Q值越高,谐振曲线越尖锐,回路的选择性越好。
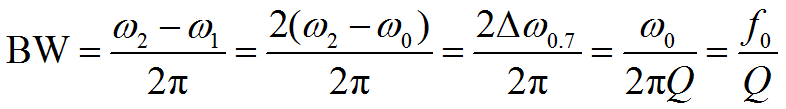
2)通频带
谐振回路的通频带通常用半功率点的两个边界频率之问的间隔表示,半功率点的电流比为0.707。

串联谐振回路的谐振曲线

串联谐振回路的通频带
通频带BW为

由此可见,Q值越高,通频带越窄(选择性越强)。在RFID技术中,为保证通信带宽在电路设计时应综合考虑Q值的大小。
3. 电感线圈的交变磁场
1. 磁场强度H和磁感应强度B
安培定理指出,当电流流过一个导体时,在此导体的周围会产生磁场,如图4-5所示。对于直线载流体,在半径为a的环行磁力线上,磁场强度H是恒定的,磁场强度H与磁感应强度B分别为

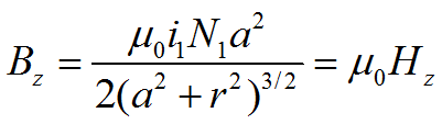
2. 环形短圆柱形线圈的磁感应强度
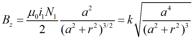
在电感耦合的RFID系统中,阅读器天线电路的电感常采用短圆柱形线圈结构,如图所示。离线圈中心距离为r处P点的磁感应强度的大小为


1)磁感应强度B和距离r的关系

上面的关系可以表述为:从线圈中心到一定距离磁场强度几乎是不变的,而后急剧下降,其衰减大约为60 dB/10倍距离。
2)最佳线圈半径a
设r为常数,并简单地假定线圈中电流不变,讨论a和Bz的关系。

上式对a求导,求Bz的极值,可得
![]()
3. 矩形线圈的磁感应强度
矩形线圈在阅读器和应答器的天线电路中经常被采用,在距离线圈为r处的磁感应强度B的大小为


