动量与冲量
上一节
下一节
§10.1 动量与冲量
一、动量
物体间往往有机械运动的相互传递,物体传递机械运动时,其相互作用力不仅与物体的速度变化有关,而且与它们的质量有关。例,子弹质量虽小,但速度很大,当遇到障碍物时,会产生很大的冲击力;轮船靠岸时,速度虽小,但质量很大,操纵稍有疏忽,足以将船撞坏。据此,可以用质点的质量与速度的乘积,来表示质点的这种运动量。
质点的动量:mv,矢量,方向与v一致,单位:kg×m/s
质点系的动量:p=∑mivi,
质心坐标的矢量式:
,∴
∴
——质点系的动量等于质心速度与其全部质量的乘积。
例10.1.1下图均质轮与均质杆的质量为m,质心速度大小为vc,求动量。

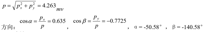
例10.1.2已知m1=2m2=4m3=4m,θ=45°,v,求质点系的动量。


= -3.293 mv


