Main ideas and corresponding question types in IELTS reading
上一节
下一节
主旨:gist,main idea
类别:(几个)段落主旨、文章主旨
indicator:词句(标题、带有总结概括性的字眼和词句)、结构位置(需要自己提炼主旨的文章类型中如何找寻主旨信息)
主旨的考察形式:List of Headings段落小标题、选择题中涉及段落主旨考察的、部分matching题(如段落及相关信息匹配)
解题要领:掌握结构主旨和提炼主旨方法
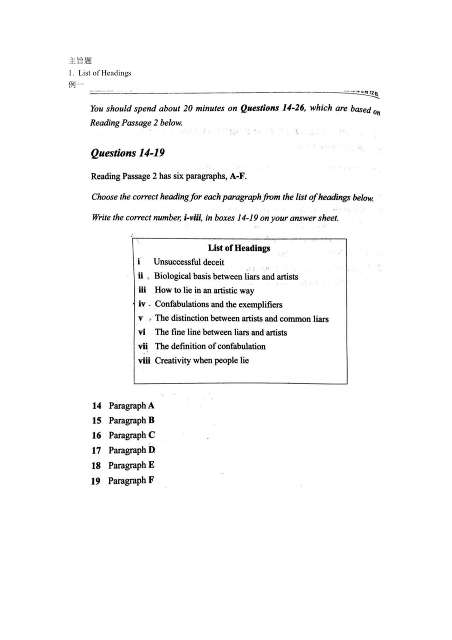
List of Headings 段落小标题
特点:在文章前出现
考察对象:每个段落主旨信息概括/寻找每个段落的主旨信息
选项特征:有冗余选项、无重复选项(即选项只能被选一次)、干扰选项会涉及到段落中的细节信息(不要管提没提,只要是细节一定是错误选项)、正确答案多echo相应段落中的高频词(多为那个段落中的topic),但是会发生同义替换现象
解题方式:不用先看选项内容(题目更不用你看了,每个题目就是段落号,如下图14-19题),看一个段落匹配一个然后逐步缩小下一题的选择范围。要学会寻找每段主旨信息(主旨句、主题+方向)




