7.6 工作场所通风与空气调节
7.6.1、通风和空气调节
(1)通风的必要性
(2)通风与空气调节的区别
◆ 通风是把局部地点或整个房间内污染的空气(必要时经过净化处理)排出室外,把新鲜(或经过处理)的空气进人室内,从而保持室内空气的新鲜及洁净程度。
◆空气调节则是要求更高的一种通风。它不仅要保证送进室内空气的洁净度,还要保持一定的温度、湿度和速度。
◆通风的目的主要是消除生产过程中产生的粉尘、有害气体、高温和辐射热的危害。
◆空气调节的目的则主要是创造一定的温度、湿度和舒适度的洁净的空气环境,并考虑消声问题,以满足生产和生活的需要。
7.6.2、工作场所通风方法
(1)按空气流动的动力不同,可分为自然通风和机械通风
①自然通风。
它是依靠室内外空气温差所造成的热压,或者室外风力作用所形成的压差,使室内外的空气进行交换,从而改善室内的空气环境。
②机械通风。
它是指借助于通风设备所产生的动力而使空气流动的方法
(2)按通风系统作用范围,可分为全面通风和局部通风
①全面通风
它是对整个房间进行通风换气。其目的是稀释房间内有害物质浓度,消除余热、余湿,使之达到卫生标准和满足生产作业要求。
② 局部通风
可分为局部排风和局部送风两种。
局部排风是在有害物质产生的地方将其就地排走;局部送风则是将经过处理的、合乎要求的空气送到局部工作地点,造成良好的空气环境
7.6.3、全面通风换气量的计算
(1) 消除有害气体的全面通风换气量
假设房间内每小时散发的有害物教量为X(mg/h),而且假定其均匀地扩散到整个房间,利用全面通风,则房间内所需全面通风换气量L可按以下公式计算

为
中,送入室内的空气中含该有害物浓度
(mg/m3),,由室内排出空气时的有害物浓度 ,就是房间内应该维持的不超过国家卫生标准所规定的有害物最高允许浓度。
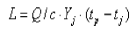
(1)散发余热的全面通风换气量
当室内产生余热时,所需全面通风换气量L可用下式计算

式中,Q为室内余热量(kJ/h);
为排出空气的温度(℃);
为进入空气的温度(℃);
c 为空气的比热, c =1.0(kJ/kg·℃);
为进气状态下的空气容量(kJ/m3)。
(3)散发余湿的全面通风换气量。当室内产生余湿时,所需全面通风换气量L可按下式计算

式中 ,W为散湿量(g/h); 为排出空气的含湿量(g/kg); 为进入空气的含湿量(g/kg)。 与 的值可根据室内及室外相对湿度查焓—湿图求得。
注:全面通风换气量计算结果应按具体情况予以确定。
◆ 当房间内同时散发一种有害气体、余热及余湿时,应分别计算所需的空气量,然后取其中的一个最大值作为整个房间的全面通风换气量。
◆当房间内同时散发几种溶剂的蒸气(苯及其同系物、醇类、醋酸酯等)或带有刺激性气体(二氧化硫、氯化氢、氟化氢及其盐类)在空气中,消除有害气体的全面通风换气量应按对各种有害蒸汽和气体分别稀释到最高许浓度所需要的空气量之和计算。
当散入室内的有害物无法具体计算时,全面通风换气量可根据类似房间的实测资料或经验的换气次数确定。
换气次数n(次/h)是通风量L(m3/h)与通风房间的体积V(m3)之比值。
已知换气次数n和房间体积V,则通风
量为 L= n V
复习思考题
1 .车间温度为28℃,大气压为750mmHg,采样空气体积为 50L,试换算成标准状态下的体积。
2. 某车间CO的浓度为20 mg/m3,试将其换算为体积浓度。
3. 简述粉尘的物化特性及其对环境的危害。
4. 简述铅的危害及预防。
5. 简述工作场所通风的重要性及换气的方法。
6. 全面通风换气量计算中,消除多种有毒有害气体的换气量计算与房间内同时散发一种有害气体、余热及余湿时,计算所需的空气量有何不同?
7.已知北京某化工车间内余热量80000kJ/h,余湿量100kg/h,同时散发出H2SO4气体44mg/s,送风为未经处理的室外空气。北京地区夏季通风计算温度为30oC,车间外含湿量为16.6g/kg;车间内空气温度为33oC,含湿量为22.4g/kg。30oC时空气容量为1.165kg/m3,车间内H2SO4的最高容许浓度为2mg/ m3,车间外不含H2SO4。求全面通风换气量。

