目录

  • 1 课程概述
    • 1.1 课程目的与基本内容
    • 1.2 教学方式与学习方法
    • 1.3 课程架构与教学计划
    • 1.4 课程要求与考核方式
    • 1.5 参考资料
  • 2 Euclid空间中微分同胚的相关结论
    • 2.1 秩定理
    • 2.2 Morse定理
    • 2.3 Frobenius定理
    • 2.4 本章研讨内容
  • 3 张量的代数运算
    • 3.1 局部协变基与逆变基
    • 3.2 张量并
    • 3.3 e-点积与全点积
    • 3.4 置换运算
    • 3.5 置换算子
    • 3.6 对称化算子与反称化算子
    • 3.7 外积运算
    • 3.8 反对称张量
    • 3.9 广义Kronecker符号
    • 3.10 基于实体板书的讲述-2019年
      • 3.10.1 置换运算
      • 3.10.2 置换算子
      • 3.10.3 对称与反称张量
      • 3.10.4 反称化算子的基本性质
      • 3.10.5 外积运算的基本性质
      • 3.10.6 反对称张量的表示
  • 4 仿射量的特征问题
    • 4.1 行列式的置换定义
    • 4.2 仿射量的行列式
    • 4.3 仿射量的主不变量
    • 4.4 仿射量的Cayley-Hamilton定理
    • 4.5 基于实体板书的讲述-2019年
      • 4.5.1 行列式的外积定义
      • 4.5.2 主不变量的外积表示
      • 4.5.3 Cayley-Hamilton定理
    • 4.6 本章研讨内容
  • 5 Eddington张量与Hodge-星算子
    • 5.1 Eddington张量
    • 5.2 Hodge-星算子
  • 6 欧氏空间中体积流形与曲面流形
    • 6.1 研究基础
    • 6.2 体积流形
    • 6.3 曲面流形
    • 6.4 基于实体板书的讲述-2019年
      • 6.4.1 基本知识回顾
      • 6.4.2 流形内部的坐标卡
      • 6.4.3 流形的定向
      • 6.4.4 诱导边界流形
      • 6.4.5 坐标卡的微分同胚与参数观点
    • 6.5 本章研讨内容
  • 7 切向量 余切向量 张量
    • 7.1 切向量
    • 7.2 余切向量
    • 7.3 张量
  • 8 里积与外微分运算
    • 8.1 里积运算
    • 8.2 外微分运算
    • 8.3 基于实体板书的讲述-里积-2019年
      • 8.3.1 里积的定义与基本性质
      • 8.3.2 里积的作用形式
    • 8.4 基于实体板书的讲述-外微分-2019年
      • 8.4.1 外微分的定义与Poincare性
      • 8.4.2 反导性
      • 8.4.3 外微分与拉回或者推前的可交换性
      • 8.4.4 外微分与里积的可交换性
      • 8.4.5 概述Lie导数与里积的基本性质
      • 8.4.6 同伦公式
      • 8.4.7 外微分的作用形式
    • 8.5 本章研讨内容
  • 9 Lie导数
    • 9.1 Lie导数的意义与随体基
    • 9.2 Lie导数的极限定义与极限分析
    • 9.3 Lie导数的基本运算性质
    • 9.4 Lie导数的基本代数结构
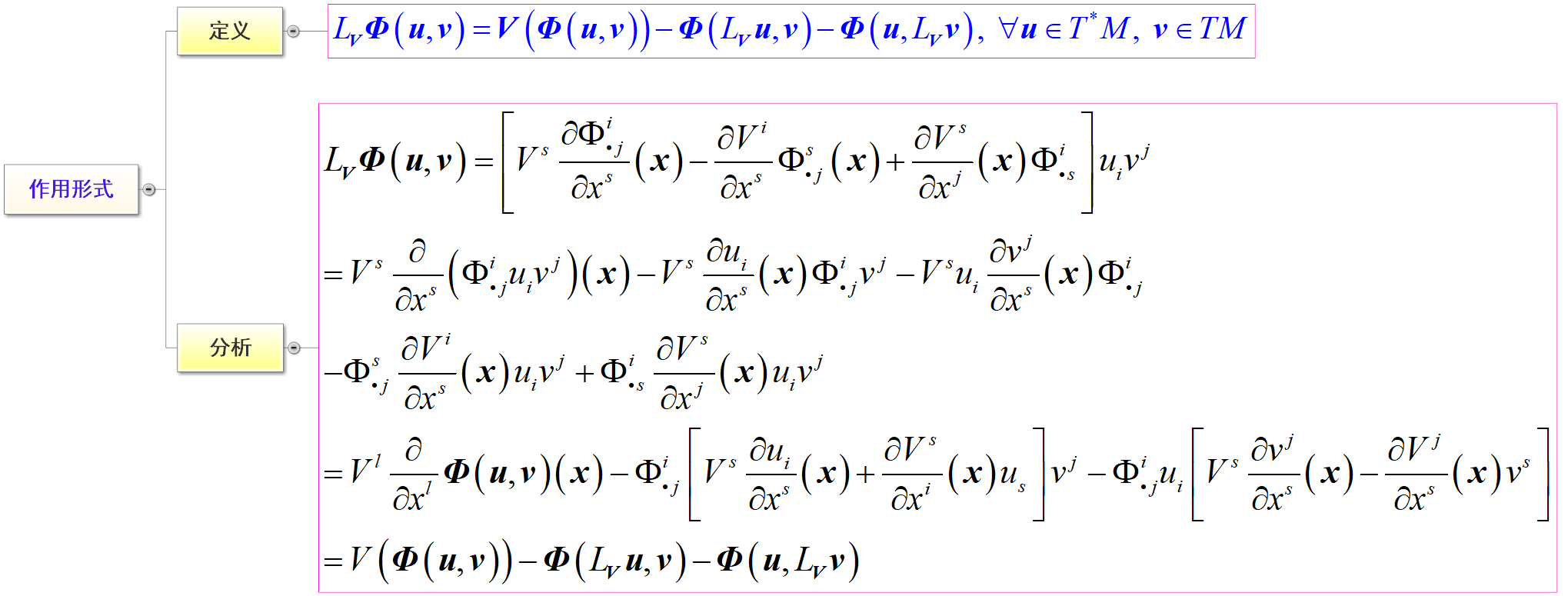
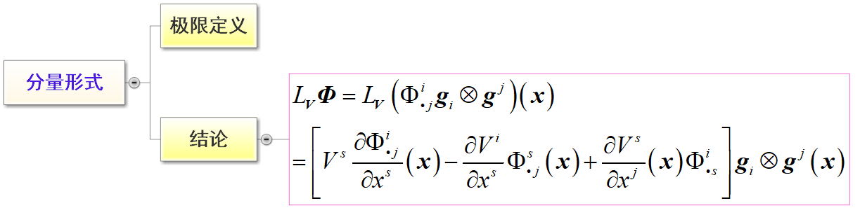
    • 9.5 Lie导数的作用形式
    • 9.6 同伦公式
    • 9.7 外微分的作用形式
    • 9.8 基于实体板书的讲述-2019年
      • 9.8.1 Lie导数的意义
      • 9.8.2 Lie导数的极限分析
      • 9.8.3 Lie导数补的意义与极限分析
      • 9.8.4 张量场Lie导数的定义与结果
      • 9.8.5 向量场的Lie导数与Possion括号
      • 9.8.6 Lie导数的作用形式
  • 10 联络
    • 10.1 切向量丛 余切向量丛 张量丛
    • 10.2 线性联络与曲率张量
    • 10.3 切丛上的联络
    • 10.4 余切丛上的联络
    • 10.5 张量丛上的联络
    • 10.6 Levi-Civita联络/Riemann联络
    • 10.7 基于实体板书的讲述-2019年暑期
      • 10.7.1 高维Euclid空间中的曲面
      • 10.7.2 切向量场的联络
      • 10.7.3 余切向量场的联络
      • 10.7.4 张量场的联络
    • 10.8 本章研讨内容
  • 11 曲率张量与挠张量
    • 11.1 曲率张量与挠张量的定义
    • 11.2 Cartan结构方程-曲率方程
    • 11.3 Cartan结构方程-挠率方程
  • 12 正则子流形与其上联络
    • 12.1 背景与研究基础
    • 12.2 正则子流形的坐标卡
    • 12.3 正则子流形上的联络
    • 12.4 低 1 维正则子流形
    • 12.5 低 r 维正则子流形
    • 12.6 应用事例
  • 13 微分流形上的积分学
    • 13.1 相关基础
    • 13.2 积分的定义
    • 13.3 基于实体板书的讲述-2019年
      • 13.3.1 第一类积分
      • 13.3.2 第二类积分
  • 14 微分流形上的Stokes公式
    • 14.1 Stokes公式的分析
    • 14.2 旋度形式的Stokes公式
    • 14.3 基本应用
    • 14.4 基于实体板书的讲述-2019年
      • 14.4.1 基本理论
      • 14.4.2 应用事例
  • 15 本课程学习参考
    • 15.1 课程考试试卷
    • 15.2 相关文献
Lie导数的作用形式

要点 01  Lie导数的作用形式