Frobenius定理
上一节
下一节
要点-01 动力系统解的规范化与Frobenius定理的内容




要点-02 向量场的Hadamard表示

要点-03 向量场的Possion括号运算与对合运算

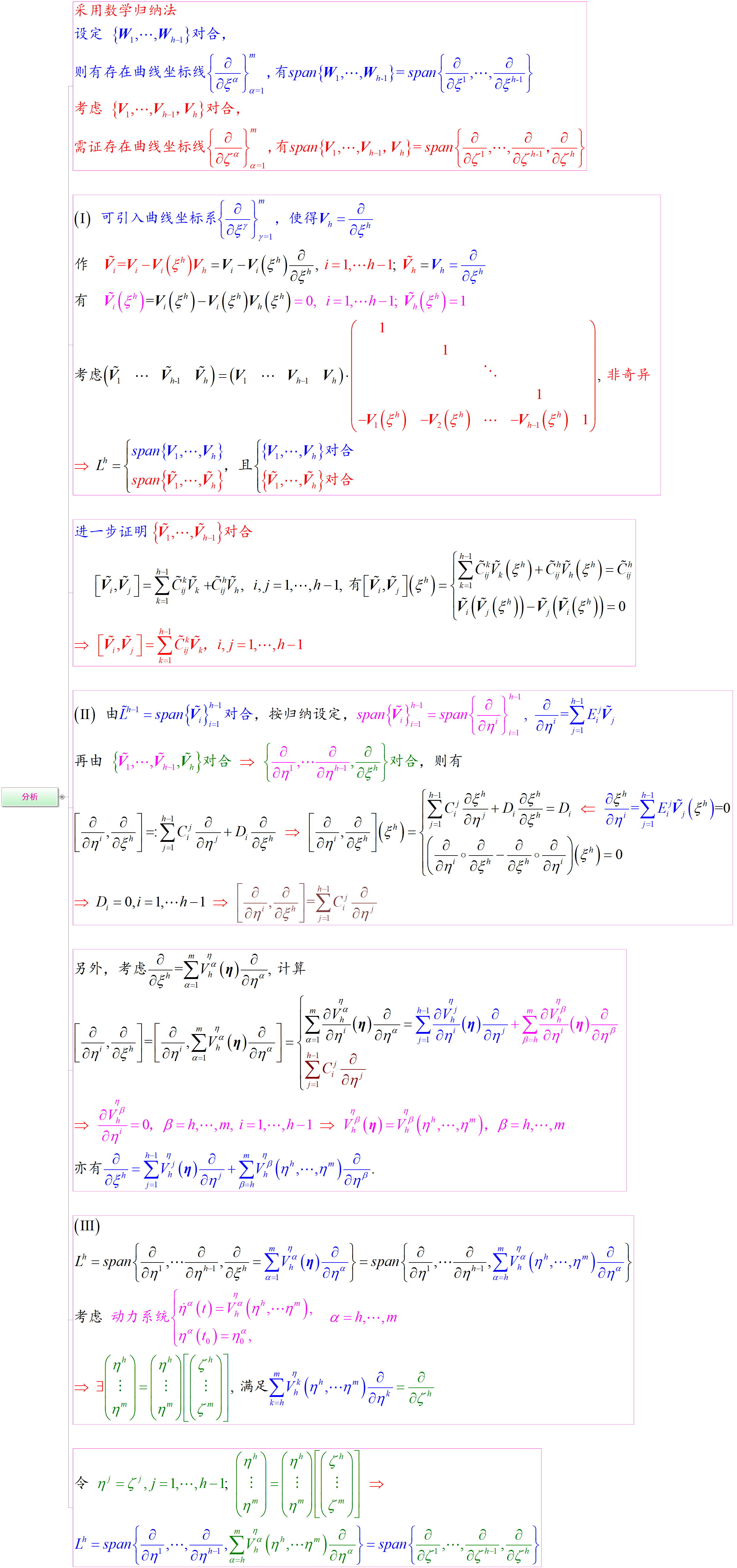
要点-04 基于数学归纳法证明Frobenius定理


要点-05 应用事例
事例-01 三维空间中二个向量的对合

事例-02 四维空间中三个向量的对合


