-
1 课程内容
-
2 随堂测验
-
3 课程资料
![]()

![]()
令牌总线网类似于令牌环网,其中,站点可与在网络上进行发送之前,必须拥有一个令牌。但是,它们的拓扑结构和令牌传递方式是不同的。令牌按照站点地址的序列号,从一个站点传送到另外一个站点。这个令牌实际上是按照逻辑环而不是物理环进行传递。在数字序列的最后一个站点将令牌返回到第一个站点。这个令牌并不遵照连接到这条电缆的工作站的物理顺序进行传递。可能站点1在一条电缆的一端,而站点2在这条电缆的另外一端,站点3却在这条电缆的中间。
电缆的拓扑结构可以包括被长干线电缆连接的工作站的一些组。这些工作站从一种星形配置的集线器中分支出来,所以这个网络既是一个总线拓扑又是一个星形拓扑的网络。ARCNET是一个令牌总线网络,但是它不承认IEEE802.4标准。令牌总线拓扑结构的例子有“ARCNET”。令牌总线拓扑对于组织分离在较远地点的用户是很适合的。虽然在一些生产环境使用令牌总线结构,但是以太网和令牌环标准却已经在办公室环境起着决定性的作用。
令牌总线网:是一种在总线拓扑中利用令牌作为控制节点访问公共传输介质的访问控制方法。
令牌总线网在物理上是总线网,在逻辑上是环型网。
![]()
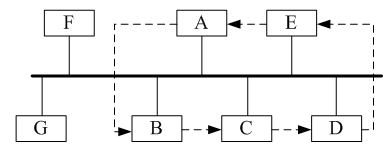
令牌总线媒体访问控制是将局域网物理总线上的站点构成一个逻辑环,每个站点都在一个有序序列中被指定一个逻辑位置,序列中最后一个站点的后面又跟着第一个站点。每个站点都知道在它之前的前驱和在它之后的后继站的标识,如图1所示。

图1 令牌总线媒体访问控制
从图1中可以看出,在物理结构上它是一个总线结构局域网,但在逻辑结构上,又成了一个环形结构的局域网。和令牌环网一样,站点只有得到令牌后才能发送帧,而令牌在逻辑环上依次(A→B→C→D→E→A)循环传递。因为在任一个时刻只有一个站点掌握令牌,故不会发生冲突。
在正常运行时,当站点做完该做的工作或者时间终了时,它将令牌传递给逻辑序列中的下一个站点。从逻辑上看,令牌是按地址的递减顺序传送到下一个站点的,但从物理上看,带有目的地址的令牌帧广格到总线上所有的站点,当目的地址识别出符合它的地址,即把该令牌帧接收。总线上站点的实际顺序和逻辑顺序并没有对应关系。
![]()
参考文献:
2、刘树刚,刘培玉.CSMA/CD与令牌总线,令牌环的相对性能比较.计算机科学, 1999(11):24-25

