4.1.1线天线的分类
双极天线:从馈电输入端看去有两个臂的天线,如对称振子天线。
单极天线:从馈电输入端看去只有一个臂的天线,如导电平板上的鞭天线,垂直接地天线等。
图4-1 双极天线 图4-2单极天线
4.1.2二次场
实际上,任何实际使用的天线都是架设在地面上或安装在某种载体上的。地面或载体因受天线产生的电磁场的作用要激励起感应电流,称作二次电流,这个二次电流也要在空间激发电磁场,称作二次场。
因此在天线周围的空间中,电磁场是天线直达场与二次场互相干涉的结果,不再是天线单独存在时的空间场分布。同时,天线靠近地面或周围物体时,不仅对辐射场有影响,对天线的输入阻抗也有影响。
对地面影响的分析方法主要有两种:一是镜像法,二是反射系数法。本课程重点讨论镜像法。
4.1.3镜像法
在求位于无限大理想导电平面附近的天线产生的辐射场时,可用一个关于导电平面对称位置处的镜像来取代替导电平面的作用。如果假设地面是无限大理想导电平面,则利用镜像法就可把导电平面对天线方向图的影响归结成二元阵的方向图函数问题。
采用镜像法的条件:假定地面为无限大的理想导电平面。
1、元天线(电流元)镜像电流的分布
元天线(电流元)镜像电流的分布如图4-3所示,垂直振子的镜像电流与原电流等幅同相,称为正像;水平振子的镜像电流与原电流等幅反相,称为负像;倾斜振子的镜像电流取向相反,镜像电流的垂直和水平分量分别为原电流对应分量的正像和负像。

图4-3 元天线(电流元)镜像电流的分布
2、对称振子镜像电流的分布
同样地,对称振子的镜像电流分布可以视为电流元的叠加,如图4-4所示。


图4-4 对称振子镜像电流的分布
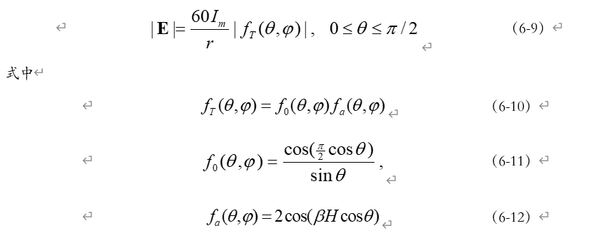
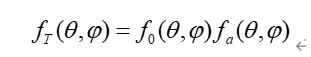
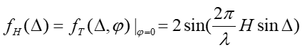
4.1.4近地水平半波天线
近地水平半波振子天线如图4-5所示,该天线被广泛应用于短波(λ=10~100m)通信中,其振子臂可由黄铜线、钢包线和多股软铜线水平拉直构成,中间由高频绝缘子连接两臂,可由双线传输线馈电。以镜像法研究,可以把该天线视为等幅反相二元阵,如图4-6所示。

图4-5 近地水平半波天线

图4-6 镜像法下的近地水平半波天线
近地水平半波天线的上半空间辐射场模
|
| (4-1) |
式中
|
| (4-2) |
对于半波振子,方向图函数为
|
| (4-3) |
Δ为天线轴与射线之间的夹角,且
|
| (4-4) |
等幅反相馈电的二元阵因子为
|
| (4-5) |
将式(4-3)、(4-5)代入(4-2)得
|
| (4-6) |
yz平面内(φ=π/2)的方向图函数,因θ=π/2-Δ,则
|
| (4-7) |
xz平面内(H面,φ=0)的方向图函数
|
| (4-8) |
画出yz面内的方向图随架高H的变化,如图4-7所示。


图4-7 不同架高H下yz面内方向图
画出xz面内的方向图随架高H的变化,如图4-8所示。


图4-8 不同架高H下xz面内方向图
讨论
(1)近地水平对称振子天线沿地面方向辐射场为0,这是由于水平天线与其镜像天线的电流反相,在地面方向波程差为0,辐射场相互抵消。
(2)当H≤λ/4时,H面内的方向图在Δ=60º~90º范围内变化不大,最大值在Δ=90º方向上,这种架设不高的水平半波天线,可用在300公里内的天波通讯中。
(3)在H面内的方向图仅与架高H有关,与天线长度无关。当H>0.3λ时,最大辐射方向不止一个(波瓣分裂),H/λ愈大,波瓣越多,靠近地面的第一波瓣的仰角愈小。当天线工作在这一模式上时,可根据通信仰角Δ选择架设高度H。
4.1.5近地垂直半波天线
近地垂直半波天线的研究方法与近地水平情况相同,用镜像法求解辐射场时,可看作是等幅同相的二元阵,天线轴与阵轴重合。

图4-9 近地垂直半波天线

图4-10 镜像法下的近地垂直半波天线
上半空间辐射场的模

E面内的方向图函数,因θ=π/2-Δ,则
|
| (4-13) |
H面内的方向图函数,因θ=π/2,Δ=0,则
|
| (4-14) |
显然,近地垂直振子在xy平面(H面)内的方向图为一个圆。
yz平面(E面)内的方向图随架高H的变化由图4-11给出。


图4-11 不同架高H下yz面内方向图
讨论
(1)近地垂直半波振子的最大辐射方向始终为沿地面方向。这是因为它可看作是侧射式二元阵,天线和其镜像的电流等幅同相,在地面方向波程差为0,辐射场相互叠加,合成场最大。
(2)方向图关于z轴旋转对称, 在地平面的方向图为一个圆。
(3)随着架高H的增加,相当于二元阵间距增大,E面方向图将出现副瓣,H愈大,副瓣个数增加且副瓣幅度增大。
4.1.6近地半波天线的输入阻抗
半波振子的输入阻抗就是其辐射阻抗。在自由空间中,半波振子的输入阻抗为
|
| (4-15) |
其电抗部分可调整振子长度(缩短)或电路调谐予以消除,电阻部分是选择馈电传输线进行匹配的重要依据。
近地半波振子的输入阻抗为
|
| (4-16) |
式中,
为天线与其镜像间的互阻抗,与架高H有关。对垂直振子取“+”号;对水平振子取“-”号。
由于近地水平和垂直半波振子可看作是平行和共轴排列的二元阵。这两种排列的半波振子二元阵的互阻抗随间距的变化曲线如图4-12所示。

图4-12 半波振子互阻抗与间距的关系
图中的
。因此,图中的互阻抗叠加上自由空间半波振子的辐射阻抗就
是近地半波振子的输入阻抗
|
| (4-17) |

图4-13 水平(左)和垂直(右)半波振子与H/λ的关系
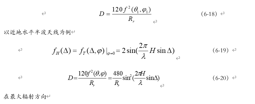
4.1.7近地半波天线的方向性系数与增益
半波天线在自由空间的方向性系数为1.64,近地半波天线的方向性系数,仍可用下式计算

上式中,
为天线效率。其中RL表示损耗电阻,包括天线导线热损耗、绝缘子损耗、地损耗等。一般情况下(H>(0.2-0.25)λ),ηa≈1,此时G≈D。














