-
1 课程内容
-
2 网络课程资源
2. 均匀直线阵












---------------------------------------------------------------------------------
1)可见区与非可见区
从数学上看,阵因子F(ψ)是在范围-∞<ψ<∞内的周期函数, 实际上θ的变化范围为0≤θ≤π,由ψ=βdcosθ-α可得对应的实际范围为
![]()
该范围内为可见区,范围之外为非可见区。
例:单元数为N=5,单元间距为d=λ/2,均匀递变相位为α=π/6时的归一化阵因子F(ψ)随ψ变化的图形:

2)最大值方向

栅瓣的出现是人们不希望的,它不但使辐射能量分散,增益下降,而且会造成对目标定位、测向等的错误判断,应当给予抑制。
阵元间距小于半波长无栅瓣,大于等于半波长小于一倍波长有一个栅瓣,大于等于一倍波长小于2倍波长有两个栅瓣。
3)栅瓣抑制条件

对于侧射阵,θm=π/2,抑制栅瓣的条件为 d<λ。
对于端射阵,θm=0,π,抑制栅瓣的条件为d <λ/2。
对于扫描阵,θm为最大扫描角。例如, 在侧向两边±30º内扫描,应取θm=90º-30º=60º,得抑制栅瓣条件为d<2λ/3。
4)零点位置θ0n
零点指方向图两个波瓣之间的节点。
令F(ψ)=0,可得方向图的零点位置。除ψ=0外,方向图零点可由sin(Nψ/2)=0确定。

对于侧射阵,θm=π/2,cosθ0n=nλ/(Nd) 。
对于端射阵, θm =0, cosθ0n =1+ nλ/(Nd) 。
对于扫描阵,零点位置由原式确定
5)主瓣零点宽度2φ0
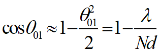
指主瓣两侧零点之间的夹角,即φ0 =| θ01- θm|
![]()
对于侧射阵,θm=π/2

设直线阵总长为L=Nd,若L>>λ,则

对于端射阵,θm=0,由式cosθ0n = 1+ nλ/(Nd) 取n=-1,有

设直线阵总长为L=Nd,若L>>λ,则

得

Ø总结:
(a)侧射阵主瓣零点宽度反比于天线阵长度,阵长越长,2φ0越小;
(b)端射阵主瓣零点宽度与阵长的平方根成反比;
(c)对相同的阵列长度,侧射阵的2φ0比端射阵的窄。
6) 主瓣的半功率波束宽度2φ0.5
由均匀直线阵的归一化方向图函数:

如果N很大,则方向图主瓣窄,sin(ψ/2)≈ψ/2,归一化方向图函数可写作

由上式可画出F(ψ)~ψ的关系曲线,如下图所示。 令F(u)=0.707,查图可得:u=Nψ/2=±1.392 ,即

对于侧射阵(θm=π/2)
![]()
取正得

若方向图主瓣窄sinφ0.5≈ φ0.5,并取L=Nd,则得

对于端射阵(θm=0)
![]()
取负并取L=Nd得

又
![]()
所以得

对于扫描阵
![]()


扫描波束很窄时可由如下方法导出简单表达式

Ø由此式可见,与侧射阵相比,波束最大值发生偏移时半功率波瓣宽度将变宽。
7)副瓣位置和副瓣电平
副瓣位置指副瓣最大值对应的角度。可由dF(ψ)/dψ=0解得,但这种做法很烦琐。

分子变化比分母快得多,因此,副瓣最大值近似发生在分子|sin(Nψs/2)|=1处,即
![]()
![]()
对于均匀直线阵, 紧靠主瓣的第一副瓣最大值比远副瓣的幅度大些。因此,阵列的副瓣电平就以第一副瓣电平为准。
![]()
代入归一化阵因子,即

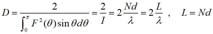
8)方向性系数D
由方向性系数公式

对于侧射阵


由于 πNd>>λ, 有 Nβd/2→∞,因此


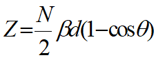
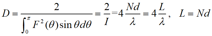
对于端射阵

其中


所以

Ø在阵长L相同的情况下,端射阵的方向性系数是侧射阵的两倍。

