二元天线阵
-
1 课程内容
-
2 网络课程资源
-
3 课程回看
上一节
下一节
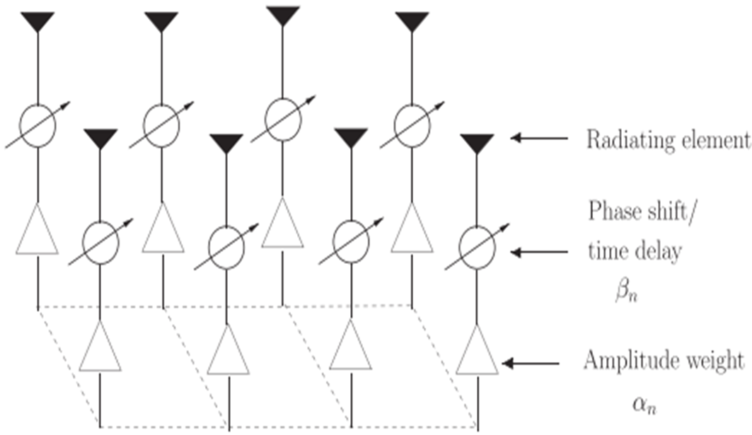
1. 阵列天线
为了增强天线的方向性,提高天线的增益或方向性系数,或者为了得到所需要的辐射特性,我们可采用天线阵以形成阵列天线。
定义:天线阵是由多个单元天线按一定方式排列在一起而构成的。
组成阵列天线的独立单元称为天线单元或阵元。
若天线单元排列在一条直线上或一个平面内,则称为直线阵或平面阵。
实用中,天线单元也可配置在飞机、导弹、卫星等实体的表面上,形成共形阵。
阵列天线的形式——直线阵&&平面阵


阵列天线的形式——矩形栅格阵&&三角形栅格阵&&圆环阵

阵列天线的形式——共形阵

阵列天线的形式——稀疏阵&&特殊排布(稀布)阵
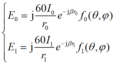
二元天线阵是由两个同类型、同尺寸的天线组成。我们以点来表示这两个天线单元,单元间距为d,两单元激励电流分别为I0和I1,它们到远区观察点的距离分别为r0和r1,如下图所示并建立坐标系。

不失一般性,设天线单元为对称阵子,则二元阵的总辐射电场为




可见,二元阵总场方向图由两部分相乘而得,第一部分f0(θ,φ)为单元天线的方向图函数;第二部分fa(θ,φ)称为阵因子,它与单元间距d、电流幅度比值m、相位差α和空间方向角θ有关,与单元天线无关。
方向图乘积原理:由相同单元天线组成的天线阵的方向图函数等于单元方向图函数与阵因子的乘积。
Δ相关讨论:












