-
1 课程内容
-
2 网络课程资源
-
3 随堂测验
-
4 视频回看
1. 天线的辐射特性参数
虽然可以计算出天线的电磁场表达式就可以准确全面地表征天线的辐射特性,但场表达式不方便实际应用。
为此,制定了能够简洁定量表征天线辐射特性的参数,主要包括以下几个方面:
2. 方向图(Pattern,方向性图,波瓣图)
方向图定义:表征辐射场方向性变化的图形。
场强方向图:归一化电场强度的大小随方向变化的曲线图。
![]()
功率方向图:归一化辐射功率密度随方向变化的曲线图。
![]()
方向图函数:表征方向图的函数。
方向图一般是三维的立体图(球坐标),以电流元的方向为例如下。

实际中,为了表达方便,通常采用通过天线最大辐射方向上的两个相互垂直的平面,即所谓“主平面”来表示方向图。
在超高频天线中,通常采用与远区场矢量相平行的两个主平面,即
E平面—电场矢量所在的平面
H平面—磁场矢量所在的平面
以电流元为例,

沿z方向放置的电流元的E面方向图

沿z方向放置的电流元的H面方向图

v典型高方向性天线的方向图(阵列天线方向图)

Ø主瓣与旁瓣/副瓣
天线方向图通常有一个主要最大值和若干次要最大值。头两个零值之间的最大辐射区域是主瓣,其他次要的最大值区域都是旁瓣或副瓣。

Ø半功率波束宽度![]()
主瓣两个半功率点之间的角度,在场强方向图中,等于最大场强的0.707倍的两点之间的角度。(电流元的半功率波束宽度为90°)

Ø零功率波束宽度![]()
头两个零陷之间的角度。(电流元的零功率波束宽度为180°)
主瓣宽度愈小,说明天线辐射能量愈集中,定向性愈好。
Ø旁瓣电平(side lobe level)
主瓣以外的旁瓣相对于主瓣的电平,一般以dB为单位值表示。通常要求尽可能小。
Ø前后比(front-to-back ratio)
最大辐射方向(前向)电平与其相反方向(后向)电平之比, 通常以dB为单位值表示。通常要求尽可能大。

* 需说明的是,天线方向图可用极坐标表示,也可用直角坐标表示。

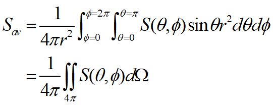
3. 方向性系数(Directivity,方向性,定向性)
定义:在远场区的球面上,最大辐射功率密度Smax与平均辐射功率密度Sav之比:

还可以定义为:在远场区的球面上,最大辐射功率流密度与相同辐射功率的无方向天线的辐射功率流密度之比:

其中,dΩ为立体角:
![]()
联合上述两个定义,有

公式中的相关项分别为

波束立体角:所有辐射功率等效地按最大辐射方向功率密度均匀辐射时的立体角。
方向系数等于球面立体角与波束立体角之比。
理想各向同性天线的方向系数为1,但不存在这种天线,所有实际天线方向系数都大于1。
方向系数常用分贝表示,需选择一个参考天线:
(a)若以各向同性天线为参考,分贝表示为dBi(isotropy),D(dBi)=10logD;
(b)若以半波偶极子(D=1.64)为参考,分贝表示为dBd,即,D(dBd)=10logD-2.15。
【例题】 求沿z轴放置的电流元的方向系数。
解: 电流元的归一化功率方向图函数为:
![]()
代入方向系数的表达式,得:

若以dB表示,则
D=10lg1.5=1.76 dBi
可见,电流元的方向系数是很低的。
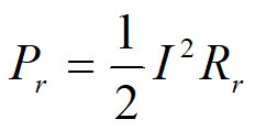
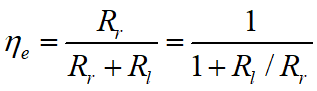
4. 效率(Efficiency)
定义:天线辐射功率Pr与输入功率Pin之比, 记为ηe。

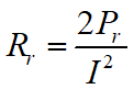
实际中,常用辐射电阻Rr来度量天线辐射功率的能力。想象天线辐射的功率都消耗在一个电阻上了,这个电阻就是辐射电阻。设流入天线的电流流过辐射电阻,其损耗的功率等于天线的辐射功率:

则辐射电阻为:

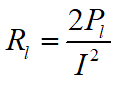
仿照引入辐射电阻的办法,设损耗电阻Rl为

则天线效率为:

可见,要提高天线效率, 应尽可能提高Rr, 降低Rl。
5. 增益(Gain)
效率没有考虑天线辐射的方向性,而方向系数没有考虑天线的损耗,而同时考虑损耗和方向性的参数是增益。

定义:天线增益就是天线的最大辐射功率密度与把相同的输入功率无方向性地分布在球面上时的功率密度的比值。
增益也可定义为:在相同输入功率下,天线的最大辐射功率密度与一理想的无方向性无损耗天线在同一点产生的功率密度的比值。
由定义可见,天线的增益系数描述了一个实际天线与理想的无方向性无损耗天线相比,在最大辐射方向上将输入功率放大的倍数。例如,一个输入功率为10W的理想的无方向性无损耗天线与一个增益为10、输入功率为1W的天线在最大辐射方向上具有相同的效果。因此,当输入功率相同时,高增益天线在最大辐射方向上可以获得更大的辐射功率。
通过比较待测天线和一个已知增益的参考天线在相同输入功率下所辐射的最大功率密度,就可以测出待测天线的增益。


6. 极化(Polarization)
天线的极化定义为天线在最大辐射方向上电磁波的极化。即在天线最大辐射方向上某一固定位置上的电场矢量的末端随时间变化所描绘的轨迹。若该轨迹如果是直线、圆或椭圆,就称为线极化、圆极化或椭圆极化。

一般来说,椭圆极化天线无用!
交叉极化:理想情况下,线极化意味着只有一个方向,但实际中,总是难免有其他的分量。对于线极化,交叉极化决定了极化的纯度。例如一个垂直极化天线,交叉极化电平(cross poparlization level)是由于在水平方向有电场分量,一般交叉极化电平是一个归一化值,它比主极化电平(co-poparlization level)要低。

表征极化的参数是轴比:电场最大值与最小值之比。圆极化轴比为1,线极化轴比为无穷大,椭圆极化轴比大于1。常见还可以用dB的形式呈现,线极化轴比大于10dB,圆极化轴比小于3dB,椭圆极化轴比大于3dB小于10dB。



