磁基本阵子的辐射
-
1 课程内容
-
2 网络课程资源
上一节
下一节
1. 磁基本阵子(磁流元)
定义:类似于电流元,磁基本阵子(磁流元)长度远小于波长的一段磁流,磁流均匀分布。
磁基本阵子(磁流元)的辐射场可以由电磁场的对偶原理予以求解。
现实世界中目前为止并未发现磁流元的存在,但是可以用小电流环来予以等效。

2. 电磁场的对偶原理
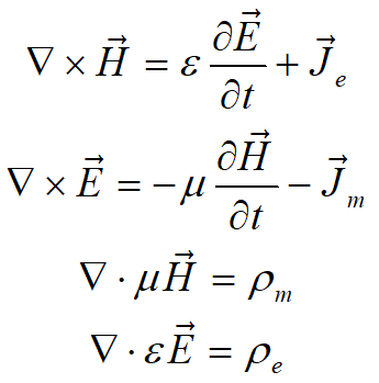
根据对称形式的麦克斯韦方程组:

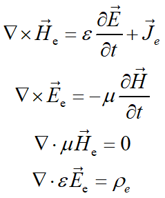
可以分解出电荷、电流产生的场:

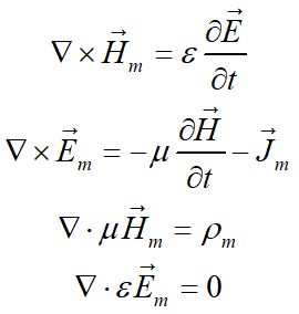
以及磁荷、磁流产生的场:

显然,电流、电荷产生的场与磁流、磁荷产生的场的方程形式相同,只要进行以下变量代换,两者便可以互相得到,称之为电磁场的对偶原理。
![]()
3. 磁基本阵子(磁流元)的远场辐射场求解

4. 小电流环的远场辐射场
定义:小电流环是半径远小于波长的电流环,电流均匀分布。
由电磁场计算可知,半径为a,电流为I的小电流环等效于以下电流值的磁流元。


由磁流元的远场辐射场可以推演出小电流环的辐射场为:


