
1、二进制与周易太极八卦,博大精深的中华文化。
2、“半斤八两”成语。
3、二进制与零和博弈,大国关系,新冷战与一带一路。


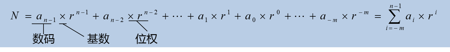
数制也称计数制,是用一组固定的符号和统一的规则来表示数值的方法。任何一个数制都包含两个基本要素:基数和位权。
数位:在数字中所占的位置叫数位。
数码:表示每一位数字可能使用的符号。例如,十进制有10个数码:0、1、2、3、4、5、6、7、8、9。
基数:数制所包含的数码的个数。例如,二进制的基数为2;十进制的基数为10。
位权:每一位所表示的值除其本身的数值外,还与它所处的位置有关,由位置决定的值就叫权。例如,十进制的123,1的位权是100,2的位权是10,3的位权是1。二进制中的 1011 ,第一个1的位权是8,0的位权是4,第二个1的位权是2,第三个1的位权是1。



数位: 7 6 5 4 3 2 1 0
数码: 1 0 1 1 0 0 1 0
位权:



传说中米诺斯的宫殿里有一个半人半牛的怪物守着这个宫殿,每年雅典人都要为它献上七对少男少女作为供品。青年—希撒斯(Theseus)下决心要为人们除掉这一害,他与父亲爱琴约定:走时把小船上挂上黑帆,回来时,如果胜利了就换上白帆,如果还是黑帆,就说明儿子已经死了。 希撒斯成功的制服了怪物,但陷入迷宫里走不出来,而米诺斯王朝的公主爱上了他,帮他出逃。谁料在回去的途中,公主突然病亡,希撒斯悲痛于绝。悲伤中忘记了把黑帆换成白帆。 父亲海崖上眺望远方,一见黑帆,只道是儿子死了,绝望中跳海自尽。 从此,人们为了纪念他,就以他的名字给这个海命名——爱琴海。
在这个传说中,白帆表示胜利,黑帆表示死亡。也就是说有两个状态,一个状态是白帆,代表胜利,另一个状态是黑帆,代表死亡。

在计算机中,一位二进制数表示两个不同的信息,如:用0表示死亡、1表示胜利,更多位的二进制表示更复杂的信息,它的基数为2,进位规则是"逢二进一",借位规则是"借一当二"。
计算机为啥要用二进制?
(1)可行性:若使用十进制数,则需要这样的电子器件,它必须有能表示0—9数码的10个物理状态,这在技术上是相当困难的(目前为止没有完全解决),而使用二进制数,只需0,1两个状态,技术上易于实现,如开关的通与断,晶体管的导通与截止、磁介质的带磁与不带磁等。
(2)可靠性:二进制只有两种状态,数字传输处理不易出错。因为每位数据只有高低两个状态,当受到一定程度的干扰时,仍能可靠地分辨出它是高还是低。
(3)简易性:二进制运算法则比较简单。求和法则(3个) :0+0=0 , 0+1=1+0=1, 1+1=10
求积法则(3个):0×0=0,0×1=1×0=0,1×1=1,这就使计算机运算器的结构大大简化,控制也简单,较容易实现。
(4)逻辑性:二进制数0和1正好与逻辑量“真”和“假”相对应,因此用二进制数表示二值逻辑显得十分自然。
