
1、各国不同的抗疫政策选择(群体免疫PK人民至上),抗疫效果五花八门。
2、各国政治制度选择,阿拉伯之春,鞋子合适不合适,只有自己知道。


条件式是我们在程序中做一些判断时要用的句型,最常用的是比较两个数值的关系,其语法如下:
数值一 关系操作数 数值二
因为条件式本身还不是一行指令,所以后面是不用加分号 ; 的,而上面的关系操作数有:
< 小于
> 大于
= 等于 (注意,是两个等号)
<=小于或等于
>=大于或等于
<>或 != 不等于

下面我们看一些例子:
变量 a 是否大于 9 : a > 9
变量 a 和 b 的值是否相等 : a =b
变量 c 是否小于等于 100 : c<= 9
变量 d 是否不等于 e : d != e
另外,有时候我们必须有两个以上的条件,则可以使用and(与、且)及Or(或)将之连起来,例如:
变数 a 大于10 且小于 100: a>10 and a<100
变数 a 等于b 或等于 c:a=b or a=c
最后,如果我们在条件式的前面加上Not(否定),例如:
Not a>9和 a<=9 是一样的。


接下来我们看到 if 语句的语法:
(1)单分支语句
if 条件式 语句
上面的语法是如果符合该条件,则执行语句。上述语句是单行形式,也可以写成块状形式:
if 条件式 then
语句
endif
示例:如果停电,则不上晚自习。
单行:if 停电 then 不上晚自习
块状:
if 停电 then
不上晚自习
endif

(2)双分支语句
有时候我们在条件不成立的时候也必需执行一些指令,这时候可以改用下面的语法:
if 条件式 语句一 else 语句二
上面 else 后面的语句二就是当条件不成立时所要执行的语句。当然也可以写成块状形式。
if 条件式 then
语句一
else
语句二
endif
示例:如果起床早,则坐公交,否则打的。
单行:if 起床早 then 坐公交 else 打的
块状:
if 起床早 then
坐公交
else
打的
endif

(3)多分支语句
有时候我们要执行的语句并不只一行,而是语句组,例如:
if 条件式
语句一
语句二
…
语句n
else
语句n+1
指令n+2
…
语句m
endif
上面的语法,当条件成立时程序会执行语句一至n,而当条件不成立的时候则是执行语句n+1至语句m。
注意:多分支语句没有单行形式。
示例:如果 中一等奖等,则新马泰旅游,否则如果中二等奖,则港澳台旅游,否则如果 中三等奖,则张家界旅游,否则宅在家(没中奖)。
if 一等奖 then
新马泰
elseif 二等奖 then
港澳台
elseif 三等奖 then
张家界
else
宅在家
endif

示例1:奇偶判断问题
如下是判断一个整数奇偶性的伪代码
input x
if ____________________ then
output "even"
else
output "odd"
endif
解析:判断奇数与偶数要从该整数与2 的余数入手,如果该整数与2 的余数是1,说明该整数是奇数,如果余数是0,说明该整数是偶数。求余数的运算符伪代码是mod。故本例应该填 x mod 2 = 0,或者 x mod 2 != 0,“!=”是不等于。

示例2:求极值问题
如下是求三个整数中的最大值的伪代码
input a,b,c
max = a
if ______________ then
max = b
endif
if ______________ then
max = c
endif
output c
解析:求n个数中的最大值的方法是“打擂台算法”。所谓“打擂台算法”是指将第一个人送上擂台,成为擂主,台底下的人都需登上擂台,和擂主进行PK,如果挑战成功,则成为新擂主。同理,三个数中求最大值,先将a送上擂台,max=a,然后b登上擂台,和擂主max比较,如果b>max,则max=b,最后c登上擂台,和擂主max比较,如果c>max,则max=c。故,第一个空填b>max;第二个空c>max。

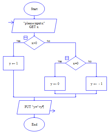
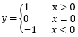
示例3:分段函数问题
已知函数
,写出伪代码和画出流程图。
解析:分段函数的分类个数为3,分别是x>0,x=0,x<0。显然,用多分支结构实现。
伪代码如下:
input x
if x>0 then
y=1
else if x=0 then
y=0
else
y=-1
endif
output y
流程图如下:

示例4:过马路问题
根据信号灯的颜色,判断是否可以过马路,注意请不要中国式过马路。红灯停,绿灯行。黄灯要减速。
解析:过马路问题有3个选择,红灯、绿灯和黄灯,俗话说“红灯停、绿灯行、黄灯亮了停一停”。显然,用多分支结构实现。设0代表红灯、1代表绿灯、其他数字代表黄灯。
伪代码如下:
input sign
if _____________ then
output "stop"
else if ____________ then
output "pass"
else
output "slow down"
endif
第一个空填sign=0;第二个空填sign=1
流程图如下:
