
一.本章学习目标
填料层高度H计算
二.所需基本关系
1.物料衡算;2.热量衡算;3.平衡关系;4.速率关系(传热传质);5.经济衡算。
三.过程
1.物料衡算
溶质:G(y1-y2)=L(x1-x2)
操作线(逆流): G(y-y2) =L(x-x2);G(y1-y)=L(x1-x)
斜率:L/G
含义:操作线到平衡线之间的距离为过程进行的推动力
2.热量衡算
对低浓度吸收过程,三个假设,过程是恒温的。
3.平衡关系:y* =mx m=E/P
4.速率关系(传质):
(1)传质模型:双膜理论、溶质渗透理论、表面更新模型、边界层理论等
(2)双膜模型:
NA=Ky(y-y*)=Kx(x*-x)=ky(y-yi)=kx(xi-x)
NA=KG(P-P*)=KL(C*-C)
KG----- kmol/(s.kPa.m2)
Ky----- kmol/(s.m2)
(3)1/Ky =1/ky+m/kx HOG=HG+(mG/L)HL
1/Kx=1/kx+1/(mky) HOL=HL+(L/mG)HG
5.经济衡算优化:
L/G=(1.1~2.0)(L/G)min
(L/G)min=(y1-y2 )/(x1*-x2)=(y1-y2 )/(y1/m- x2)
若x2=0,则:(L/G)min=(y1-y2)/(y1/m)=mh
四、高度计算(传质速率Model法)
1.H=HOG × NOG =HOL × NOL
G ——单位截面、单位时间内气相的流率, kmol/m2.s ;
注意G的单位转换:kmol/h、kg/h、m3/h。
1/Kya——反映了传质阻力的大小,气膜控制时Kya主要与气速有关,与液速关系不大。
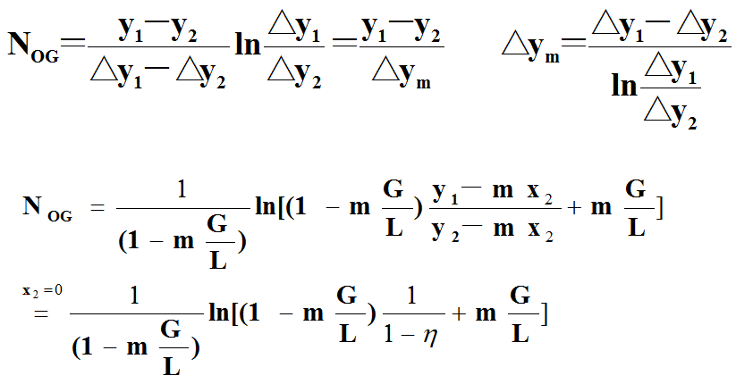
3.NOG求取方法:主要有:对数平均浓度差法,吸收因数法、近似图解法、数值积分法等
4.NOG求取公式

五、基本概念
1.吸收与解吸(方法)、联合操作
2.分子扩散――Fick定律
JA=-DAB (dCA/dz) kmol/(s.m2)
3.单相扩散与相际传质,经典模型:
(1)等mol反向扩散;(2)单向扩散
NA=(DAB/z R T) • (P/PB m )(PA1-PA2)
NA=(DAB/z) • (CM /CB m )(CA1-CA2)
【D∝T3/2/P】
4.HOG、NOG、HOL、NOL意义

