小结
上一节
下一节
![]()
1、传热速率方程

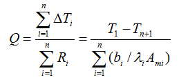
2、热量衡算
![]()
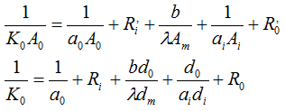
3、K

4、圆直管湍流
Nu=0.023Re0.8Prn (流体被加热△=0.4,被冷却▽=0.3)
![]()
1、传热的三种方式
①热传导;②对流;③辐射
2、热交换方式
①直接;②间接
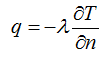
3、热传导速率
①Fourier:
②
4、牛顿冷却定律
① 流体被冷却时,△T=T-TW;
② 流体被加热时,△T=TW-T。
5、四个准数
① Nu=αL/λ,努塞尔特准数(Nusselt),表示对流传热系数的准数;
② Re=ρud/μ ,雷诺准数(Reynolds),表示流动状态影响的准数;
③ Pr=Cpμ/λ ,普兰特准数(Prandtl),表示物性影响的准数;
④ Gr=L3ρ2βg△t/μ2 ,格拉斯霍夫准数(Grashof),表示自然对流影响的准数。
6、α =λ/δ
7、蒸汽冷凝
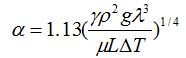
① 竖管(壁)层流:

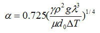
② 水平管外(因:d小,总处于-层流)

8、大容积饱和沸腾曲线
自然对流、泡(核)状沸腾、膜状沸腾
9、自动模化区:与设备尺寸无关
10、强化手段
![]()

