一、重要公式
1、有效功、功率
Ne =ρgVHe,η= Ne/Na
2、串、并联复合
He串 = He单 = 2(a-bV2)
He并 = He单 = a-b(V/2)2
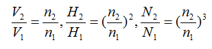
3、比例、切割

4、安装高度

二、相关概念
1、离心泵结构
① 泵壳 ② 泵轴 ③ 叶轮 ④ 轴封
2、工作原理
旋转叶轮 → 离心力 → 局部负压 → 中心吸入 → 边缘压出
3、欧拉方程
HT=A-BV
He=a-bV2
4、泵的性能曲线三条
① He~V ② Na~V ③ η~V
5、泵的效率分析
① 容积 ② 水力 ③ 机械
6、离心泵叶片类型
① 后弯β2<90o ② 径向β2=90o ③ 前弯β2>90o
7、工作点
泵、管路曲线交点;管路特性曲线方程:He’=H0+KV2
8、工作点调节方法
① 切割D
② 比例n
③ 阀门
9、对泵特性影响
ρ对V、H无影响,对η无影响,但对Na~V有影响
10、现象
① 气缚 ② 气蚀
11、泵选型原则
① 据液体种类选泵类型
② 据V、He选型号:(He、V)泵≥(He、V)计算
③ Na校核
三、复习例题
1、水流量为12m3/h,泵的出口处的压力表读数为1.9at(表),泵的入口处的真空表读数为140mmHg,轴功率为1.2kW,电动机的转数为2900转/分,压力表和真空表的距离为0.7m,出口管和入口管直径相同,求泵的压头H和效率η?
【解】
以真空表为1-1,压力表为2-2间列B.E

2、离心泵、往复泵各一台并联操作输水。两泵“合成的”性能曲线方程为:He = 72.5-0.00188(V-22)2,V指总流量。阀全开时管路特性曲线方程为:He’= 51+KV2,(两式中:He、He’--mH2O,V--L/s)。现停开往复泵,仅离心泵操作,阀全开时流量为53.8L/s。试求管路特性曲线方程中的 K值。
【解】只开离心泵时:He = 72.5-0.00188V2
V = 53.8 L/s时,He = 72.5-0.00188V2 = 72.5-0.00188´53.82 = 67.06m
He’= 51+KV2 = 51+K´53.82
∵He=He’
∴K = 0.00555m/(L/s)2
3、用离心泵将20℃水由贮槽送出,泵的前后各装有真空表和压力表。已知泵的吸入管路总阻力和速度头之和为2mH2O柱。允许吸上真空高度为5m,大气压强为1atm,贮槽液面低于泵的吸入口距离为2m。试求:
(1)真空表读数为多少mmHg?
(2)当水温由20℃变为60℃时发现真空表与压力表读数骤然下降,此时出现什么故障?原因何在?怎样排除?(要求定量说明)
【解】



排除方法:
降低泵与水面间的距离,或减少吸入管路的阻力,如换大一点管径的吸入管。

