学习目标
掌握单个颗粒、颗粒群、颗粒床层特性的表示方法;
掌握重力沉降和离心沉降的基本原理、沉降速度的定义和基本表示方法;
了解并熟悉降尘室、旋风分离器的结构特点、工作原理及其性能参数;
掌握过滤的基本操作过程、典型的设备,熟练掌握恒压过滤的操作及计算;
了解流化床的主要特征和操作范围;
掌握数学模型法;
典型设备的结构特性,能够根据生产工艺的要求,合理选择设备。

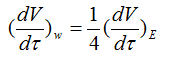
1、洗涤速率

2、生产能力G

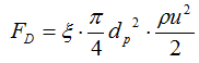
3、曳力公式

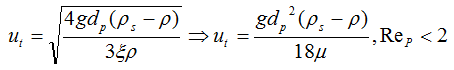
4、Stokes公式


1、颗粒的当量直径:dev
2、筛分分析:①频率函数 ②分布函数曲线
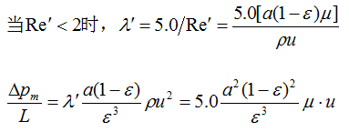
3、柯士尼公式 :
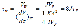
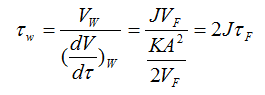
4、滤液流速dV/dτ,过滤速率dV/(A.dτ)
5、单位面积上的滤液量:q=V/A
6、过滤操作过程:①过滤τF;②洗涤τw;③清理和组装τR
7、最大生产能力的条件:τF+τw=τR
8、当qe≈0,
板框:

叶滤:

9、助滤剂:(SiO2)硅藻土,珍珠岩,石棉粉,炭粉。
10、自由沉降:
11、重力沉降室:τ沉≤τ停
12、分离效率:η
13、分离因数:K=(uT2/R)/g
14、流态化:聚式(G-S)、散式(L-S)流化
压降~速度图 △p=L(1-ε)(ρs-ρ)g
学习指南
基本要求 :
球形颗粒和均匀床层的特性的理解;一维固定床层的流动压降的计算。
正确理解液体过滤操作的基本原理;掌握过滤基本方程式及其应用;掌握过滤过程及设备的计算和过滤常数的测定方法。
了解重力沉降运动的基本原理,掌握重力沉降设备的计算。
重 点:
影响固定床层流动压降的主要因素;
恒压过滤基本方程式及其应用;
板框过滤机的操作和工艺计算;
球形颗粒的重力自由沉降速度的计算;
斯托克斯公式;
除尘室的生产能力计算。
难 点:
可压缩滤饼的过滤常数的理解与应用;
滤布阻力的确定与当量滤饼层概念的引入;
颗粒沉降的因次分析法的应用;
应用直接判据法计算沉降速度。
知识内容
3.1 概述及筛分
均相混合物,非均相混合物;
非均相物系分离的依据和方法;
颗粒与颗粒群的特性;
筛分的原理,筛的有效性与生产能力。
3.2 沉降分离
重力沉降原理,自由沉降和干扰沉降;
重力沉降过程和沉降速度的基本概念,颗粒重力自由沉降计算式;
重力沉降设备,降尘室的结构及优缺点,降尘室工艺计算;
离心沉降的基本原理,离心沉降速度;
离心沉降身背,旋风分离器的结构、原理及工艺计算,临界粒径,评价旋风分离器的性能指标。
3.3过滤
过滤的概念,深层过滤、滤饼过滤,过滤介质;
过滤速率、推动力和阻力的概念;
过滤基本方程的推导(数学模型法),过滤速度,滤饼洗涤,洗涤时间;
过滤设备及过滤计算,板框过滤机结构、操作、特点和计算,叶滤机,转筒真空过滤机;
过滤机的生产能力,加快过滤速率的途径;
离心分离的原理和设备。
3.4 固体流态化
固体流态化的概念,流态化过程的几个阶段;
流化床的两种形态,聚式流化床中两种不正常现象;
流化床的主要特性;
流化床的操作流速范围,起始流化速度,带出速度。
实践
实践内容
1. 熟悉板框压滤机的构造和操作方法。
2. 通过恒压过滤实验,验证过滤基本理论。
实践原理
以多孔介质截留悬浮于流体中的颗粒,从而实现固体颗粒与流体分离的操作称为过滤。若悬浮液中固体浓度较高,固体颗粒在多孔介质表面会形成滤饼,因此,除刚开始过滤时外,过滤主要是滤饼层起过滤介质作用,此种过滤称为滤饼过滤。(以上为原理部分) (以下为数据处理部分)滤饼过滤的推动力是压差。由于设备耐压等原因,过滤一般情况下都是在恒压条件下进行。在恒压滤饼过滤过程中,由于滤饼不断增厚,过滤阻力不断增大,过滤速率越来越小,因此,恒压过滤虽然操作压差在过滤过程可保持恒定,但它是一个非定态过程。实践装置及参数
实践装置

图一 恒压过滤实验流程示意图
1─调速器;2─电动搅拌器;3、4、6、11、14─阀门;
5、7─压力表8─板框过滤机; 9─压紧装置;10─滤浆槽;
12─旋涡泵;13-计量桶 。

图二 板框过滤机固定管路分布图
常见问题
1.过滤常数与哪些因素有关?
答:其与悬浮液性质 (体积分数)、(滤液黏度)、滤饼特性r及虚拟压强差有关。
2.颗粒的自由沉降速度是否仅是颗粒与流体的特性?
答:不仅与颗粒和流体的特性有关,还与其他因素有关:
(1)干扰沉降
(2)端效应
(3)分子运动
(4)非球形
(5)液滴或气泡的运动
3.在考虑流体通过固定床流动的压降,颗粒群的平均直径是按什么原则定义的?
答:颗粒群的平均直径是以比表面积相等为准则来确定的,因为固体颗粒很小,流体在颗粒层内流动是极其缓慢的爬流,无脱体现象发生,这样流体阻力主要由颗粒层内固体表面积的大小决定,而颗粒的形状并不重要,基于对流动过程的此种认识,应以比表面积相等为准则确定颗粒层平均直径。
4.加快过滤速率的途径
答:(1)改变滤饼结构(2)改变悬浮液聚集状态(3)动态过滤
5:评价旋风分离器性能指标
答:分离效率和气体通过旋风分离器的压降
6.在表面过滤方式中,何谓架桥现象?
答:过滤过程中部分颗粒进入过滤介质网孔,并在孔道就会产生架桥现象
7.实际流化现象有哪些?通常各自发生于什么系统?
答:从床内流动和颗粒的运动状况来看,实际中存在两种截然不同的流化现象:
(1)散式流化:一般发生于液-固系统,散式流化床较接近理想流化床;
(2)聚式流化:一般发生于气-固系统,聚式流化床层不如散式流化那样平稳,而是频繁的起伏波动
8.何谓流化床层的内生不稳定性?如何抵制?
答:设有一正常操作的流化床,由于某种干扰在床内某局部区域出现一个空穴,该处床层密度即流动阻力必然减小,附近的气体便优先取道此空穴而通过,空穴处气体流量急剧增加,可将空穴顶部更多颗粒推开,空穴变大,又使该处阻力进一步减小,气体流量进一步增加,从而产生恶性循环,这种恶性循环成为流化床的内生不稳定性。
为抵制这一不利现象,通常设计适当开孔率和压降的分布板来增加分布板的阻力,设置水平挡板,采用小直径宽分布的颗粒,采用细颗粒高气速流化床。