学习指南
基本要求:
熟练掌握流体静力学基本方程式,连续性方程式和柏努利方程式及其应用;
正确理解流体的流动类型和流动阻力的概念;
掌握流体流动阻力的计算,简单管路的设计型计算和输送能力的核算;
了解测速管,文丘里流量计,孔板流量计和转子流量计的工作原理和基本计算。
重 点:
流体流动过程中的基本原理及流体在管内的流动规律;
柏努利方程式的应用;流体在管道内的流动阻力产生的原因和摩擦阻力的计算;
简单管路的计算。
难 点:
流体的不同流型的摩擦系数及其计算,简单管路的设计型计算和输送能力的核算。
一、重要公式
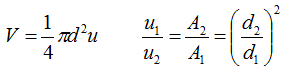
1、连续性方程

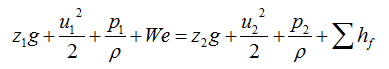
2、伯努利方程

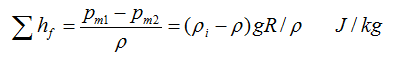
3、阻力计算(与U型差压计相关)

4、阻力计算(范宁公式)

二、相关概念
1、连续介质模型
2、流体力学
3、压强及表示方法(表压、真空度)
4、修正压强及应用条件
5、牛顿粘性定律τ=±μdu/dy 适用层流
6、层流与湍流分类、本质
Re<2000(层流)
Re>4000(湍流)
本质区别:湍流有径向脉动
7、粘度
1Pa·s=10P(泊)=1000 cP(厘泊)
8、Re=ρud/μ
9、平均速度u=umax/2(管中心,层流)
10、边界层及分离
11、因次分析法
12、局部阻力
13、de=4rh
rh=流道面积/润湿周边长,de=d2-d1
14、管道突然扩大、缩小
15、并联特点:∑hf相等
16、测量
点速度:毕托管;流量。
孔板、文丘里、转子
特点:恒u,恒△Pm,变截面;
标定:

三、复习例题
1、常温的自来水从高位槽A经φ57mm×3.5mm钢管送入密闭的容器B内,容器B上方压强表读数为5.08×104Pa。高位槽和容器的液面恒定,两者间的垂直距离为15m,已知直管长度与全部当量长度之和为83m。试求该管路最大输水量为多少?取水的密度ρ=1000kg/m3、粘度μ=1cP、ε=0.2mm。
【解】

依题意画图
以高位槽A的1-1与B容器的2-2间列B.E

2、用离心泵将水由水槽送至水洗塔内。水槽敞口。塔内表压为0.85at。水槽水面至塔内水出口处垂直高度差22m。已知水流量为42.5m3/h,泵对水作的有效功为321.5J/kg,管路总长110m(包括局部阻力当量管长),管子内径100mm。试计算摩擦系数λ值。
【解】

依题意画图
以水槽的1-1与水洗塔的2-2间列B.E

z1=0,z2=22 m,u1=0,
p1(表)= 0
p2 = 0.85at = 0.85×9.81×104 = 8.34×104 Pa
u2 = V/A = 42.5/(0.785×0.12×3600) = 1.50 m/s
∴We= gz2+u12/2+p2/r+∑hf
即:321.5=9.81×22+1.502/2+8.34×104/103+∑hf
∴∑hf = 21.2 J/kg
∑hf =λ(l/d)u2/2 =λ(110/0.1)×1.502/2 = 21.2
∴λ = 0.0171
实践内容
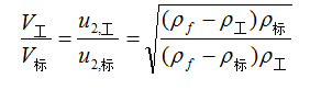
1.测定并绘制节流式流量计的流量标定曲线,确定节流式流量计流量系数C
2.分析实验数据,得出节流式流量计流量系数C随雷诺数Re的变化规律。
实践原理
流体通过节流式流量计时在流量计上、下游两取压口之间产生压强差,它与流量的关系为:

用涡轮流量计作为标准流量计来测量流量VS。每个流量在压差计上都有一个对应的读数,测量一组相关数据并作好记录,以压差计读数△P为横坐标,流量Vs为纵坐标,在半对数坐标上绘制成一条曲线,即为流量标定曲线。同时,通过上式整理数据,可进一步得到流量系数C随雷诺数Re的变化关系曲线。
实践装置及参数
1.实践装置

图一 流量计实验流程示意图

图二 实验装置仪表面板图
2.设备主要技术参数:
离心泵:型号WB70/055; 贮水槽:550mm×400mm×450mm;
试验管路:内径φ48.0 mm; 涡轮流量计:最大流量 6m3/h;
文丘里流量计:喉径φ15mm; 孔板流量计:喉径φ15mm;
转子流量计:LZB-40,量程400-4000L/h;
温度计:Pt100数字仪表显示; 差压变送器: 0-200kPa
案例
某厂为了控制乙炔发生炉内的压强不超过10.7×103Pa(表压),需在炉外装有安全液封,其作用是当炉内压强超过规定,气体就从液封管口排出,通过理论计算,此炉的安全液封管应插入槽内水面下的深度为10.9m。

常见问题
1.压力的表示方法有哪些?
答:绝对压强:以绝对真空为基准量得的压强;
表压强:以大气压强为基准量得的压强。未特殊注明的即认为是表压。
真空度:表压强以大气压为起点计算,有正负,负表压强就称为真空度。
表压=绝对压强—大气压强
真空度=大气压强—绝对压强
2.位头的概念及单位?
答:“头”用来表示液位高度,
就是液柱高与静压力之间的关系,
通常称为静压头,
相应的称为位压头或位头,其单位为m。
3.层流与湍流的本质区别是什么?
答:湍流的最基本特征是出现了径向的速度脉动,当流体在管内流动时只有轴向速度而无径向速度,牛顿型流体服从流动粘性定律,然而在湍流时流体质点沿管道流动着的同时还出现了径向的脉动,这种脉动加速了径向的动量、热量和质量的传递,动量的传递不仅因于分子运动,且源于流体质点横向脉向速度。