教学目标:
1、掌握压强的定义、表示法及单位换算
2、了解流体静力学基本方程推导;流体静力学基本方程应用

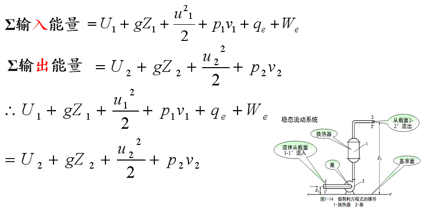
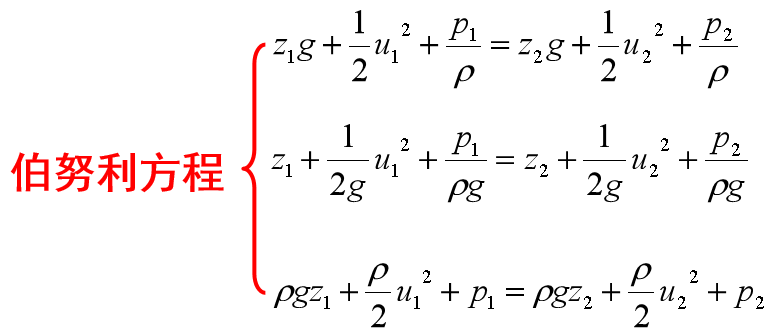
伯努力方程的三种形式



1)直管阻力:流体流经一定管径的直管时由于流体的内摩擦而产生的阻力
局部阻力:流体流经管路中的管件、阀门及管截面的突然扩大及缩小等局部地方所引起的阻力。
2)阻力损失的表现:流体势能的降低
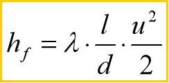
3)直管阻力损失通式
范宁公式
范宁公式的两种形式:


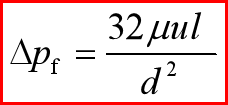
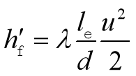
4)层流时直管阻力损失
哈根-泊谡叶公式:

因次分析法
1)因次一致原则 :凡是根据基本的物理规律导出的物理量方程式中各项的因次必然相同,也就是说,物理量方程式左边的因次应与右边的因次相同。
2)π定理:
i=n-m
i----无因次数群个数
n----物理量个数
m----量纲个数

所以:

3湍流的摩擦系数

4非圆形管内的沿程损失
套管环隙:
正方形截面:
长为a,宽为b的矩形截面:

5局部损失
1)局部损失的计算方法
(1)阻力系数法
近似地将克服局部阻力引起的能量损失表示成动能的一个倍数。这个倍数称为局部阻力系数,用符号表示,即
(2)当量长度法
把流体流过某一管件或阀门的局部阻力折算成相当于流过一段与它直径相同,长度为的直管阻力。所折算的直管长度称为该管件或阀门的当量长度,以表示,单位为m。那么局部阻力损失为:
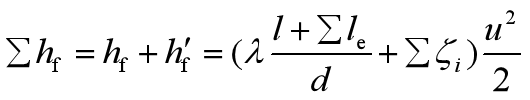
6管内流动总阻力损失计算
例1:如本题附图所示,密度为850kg/m3的料液高位槽送入塔中,高位槽中的液面维持恒定,塔内表压强为9.81×103Pa,进料量为5m3/h,连接管直径为φ38×2.5mm,料液在连接管内流动时的能量损失为30J/kg(不包括出口的能量损失),试求:高位槽内液面应为比塔内的进料口高出多少?



沿程损失的计算通式

管路系统中的总能量损失常称为总阻力损失,是管路上全部直管阻力与局部阻力之和,其计算通式可写为


案例
进行烧嘴冷却系统的设计需要根据设计流量、管径大小、管路长度、管件材料、管路附件等来确定管路系统的阻力。可以看出,影响管路系统阻力的因素很多。因此较难准确计算管路系统的阻力。由于水力学理论的局限性。单从理论方面还难以准确计算出管路系统阻力,一般使用半理论半经验法,从某种意义上讲,经验法计算的阻力值更接近真实值。
某工业装嚣烧嘴冷却水的工艺条件为:流量V=16.9m3/h,出口压力P2=0 Pa(表),冷却水进、出口平均温度46℃,求出冷却水进日压力P1,即可得到整个烧嘴冷却管路总阻力损失△P。