流体流动现象
-
1 学习目标
-
2 内容
-
3 课件
-
4 视频
-
5 案例
-
6 测验
上一节
下一节
学习目标:
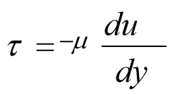
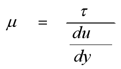
1、掌握牛顿粘性定律及物理意义;
2、掌握粘度的定义、单位、影响因素;
2、掌握流体流动的类型及判定方法;
3、了解流动边界层形成与边界层分离意义。






