学习目标:
1、掌握流体常用的物理参数;
2、掌握密度、压强、绝压、表压、真空度的有关概念、有关表达式和计算;
3、理解流体静力学方程各项的意义;
4、能够运用流体静力学方程测量或计算化工单元设备中的压力。
流体静止的基本方程
1.流体密度与比容
(1)密度定义 单位体积的流体所具有的质量,ρ; SI单位kg/m3。

(2)影响ρ的主要因素
(3)气体密度的计算
理想气体在标况下的密度为:
(4)混合物的密度
1)液体混合物的密度
2)气体混合物的密度

(5)与密度相关的几个物理量
1)比容:单位质量的流体所具有的体积,用υ表示,单位为m3/kg。
在数值上:
2)比重(相对密度):某物质的密度与4℃下的水的密度的比值,用 d 表示。
2 静压强

1)定义:流体垂直作用于单位面积上的静压力。
2)特点:某一点不同方向上的压强在数值上相等,
空间各点p=f(x,y,z)
3)压强的单位
(1)按压强的定义,压强是单位面积上的压力,单位Pa。
1bar =105Pa。常用单位有:Pa、kPa、MPa。
(2)直接以液柱高表示:mH2O、cmCCl4、mmHg等。
(3)以大气压强表示:atm(物理大气压)、at(工程大气压)
1atm=1.0´105Pa=760mmHg=10.33mH2O=1.033kgf/cm2 =1.0133bar
1at=9.81´104 Pa=735mmHg=10mH2O
4)静压强的表示方法
绝对压强:以绝对真空为基准量得的压强;
表压强:以大气压强为基准量得的压强。
真空度:表压强以大气压为起点计算,有正负,负表压强就称为真空度。
三者之间的关系为:表压=绝对压强-大气压强
真空度=大气压强-绝对压强
5)流体压强具有以下两个重要特性:
(1)流体压力处处与它的作用面垂直,并且总是指向流体的作用面;
(2)流体中任一点压力的大小与所选定的作用面在空间的方位无关。
3 流体静力学基本方程
1)流体静力学基本方程式:

它反映了流体不受水平外力作用,只在重力作用下流体内部压力(压强)的变化规律。
4 静力学方程的应用
1)压强与压强差的测量

2)液位的测定
由压差计指示液的读数R可以计算出容器内液面的高度。
当R=0时,容器内的液面高度将达到允许的最大高度,容器内液面愈低,压差计读数R越大


3)液封高度的计算
压缩氮气自管口经调节阀通入,调节气体的流量使气流速度极小,只要在鼓泡观察室内看出有气泡缓慢逸出即可。
压差计读数R的大小,反映出贮罐内液面的高度。


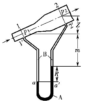
某厂要测蒸汽锅炉内水面上的蒸汽压,在锅炉上装置一复式U形水银测压计,如右图所示,截面2、4间充满水。由静力学原理,可求得蒸汽的表压。例如,对某基准面而言各点的标高为z0=2.1m,z2=0.9m,z4=2.0m,z6=0.7m,z7=2.5m。
由静力学原理,可求得蒸汽的表压为
p-pa=ρig(z0-z1+ z4-z5)-ρg(z4-z2+z7-z6)
=13600×9.81×(2.1-0.9+2.0-0.7)-1000×9.81× (2.0-0.9+2.5-0.7)
=3.05×105Pa=305kPa
依此原理可测得锅炉内水面上的蒸汽压强。
作业
1.牛顿粘性定律表达式为_______,它适用于_________流体呈__________流动时。
2.开口U管压差计是基于_________原理的测压装置,它可以测量管流中_________上的___________或__________。
3.某设备的真空表读数为200 mmHg,则它的绝对压强为____________mmHg。当地大气压强为101.33×103Pa.
4、某设备上真空表的读数为13.3×103Pa,计算设备内的绝对压强与表压强。已知该地区大气压强为101.325×103Pa。
5. 在法定计量单位制中,粘度的单位为( )
A. cP B.P C.g/(cm.s) D.Pa.s
6. 在静止流体内部各点的静压强相等的必要条件是( )
A.同一种流体内部 B.连通着的两种流体
C同一种连续流体 D.同一水平面上,同一种连续的流体
7. 牛顿粘性定律适用于牛顿型流体,且流体( )
A. 应作滞流流动 B. 应作湍流流动
C. 应作过渡流流动 D. 静止的