暂无搜索结果
-
1 绪 论
-
1.1 流体与流体力学
-
1.1.1 力学与流体
-
1.1.2 流体力学及其研究方法
-
1.2 连续介质模型
-
1.3 流体的密度及粘性
-
1.4 作用在流体上的力
-
2 流体静力学
-
2.1 流体静力学概述
-
2.2 流体平衡微分方程
-
2.3 在重力作用下静止流体的压强分布
-
2.3.1 在重力作用下静止液体的压强分布
-
2.3.2 液柱测压计
-
2.3.2.1 U形管测压计
-
2.3.2.2 多管压差计
-
2.3.3 在重力作用下可压缩流体的压强分布
-
2.4 非惯性坐标系中静止液体的压强分布
-
2.4.1 等加速直线运动液体的相对静止
-
2.4.2 旋转容器内液体的相对静止
-
2.5 静止液体作用在平壁面和曲壁面上的压强合力
-
2.5.1 作用在平壁面上的压强合力
-
2.5.2 作用在曲壁面上的压强合力
-
3 在重力作用下静止流体的压强分布
-
3.1 描述流体运动的两种方法
-
3.2 迹线、流线和流管
-
3.3 连续性方程
-
3.3.1 系统与控制体
-
3.3.2 微分形式的连续性方程
-
3.3.3 定常流动中总流的连续性方程
-
3.4 欧拉运动微分方程
-
3.5 理想流体定常运动的伯努利方程
-
3.6 压强沿流线法向的变化
-
3.7 总流的伯努利方程
-
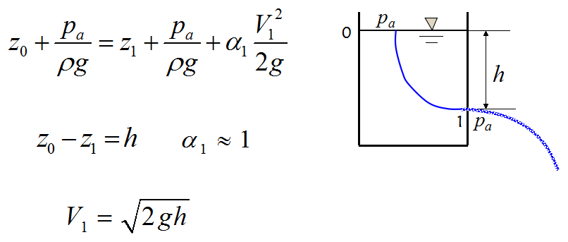
3.8 伯努利方程应用举例
-
3.8.1 例题
-
3.8.2 例题——皮托管测速原理
-
3.8.3 例题——文丘里流量计原理
-
3.9 叶轮机械内相对运动的伯努利方程
-
3.10 动量方程和动量矩方程
-
3.10.1 例题一
-
3.10.2 例题二
-
3.10.3 例题三
-
3.10.4 例题四
-
3.10.5 例题五
-
4 不可压缩粘性流体的一元流动
-
4.1 粘性流体运动的伯努利方程
-
4.2 层流与湍流
-
4.2.1 流体运动的两种流态
-
4.2.2 湍流运动的基本特征
-
4.2.3 湍流切应力及混合长理论
-
4.3 圆管定常层流流动
-
4.4 圆管定常湍流流动
-
4.4.1 水力光滑管与水力粗糙管
-
4.4.2 水力光滑管的速度分布和沿程损失系数
-
4.4.3 尼古拉兹实验曲线和莫迪图
-
4.5 局部水头损失
-
4.6 有压管流的水力计算
-
4.6.1 虹吸管
-
4.6.2 带有水泵的管路
-
4.6.3 串联管路和并联管路
-
5 可压缩气体一元定常流的基本公式
-
5.1 可压缩气体一元定常流的基本公式
-
5.1.1 完全气体状态方程
-
5.1.2 连续性方程
-
5.1.3 运动方程
-
5.1.4 热力学常数
-
5.1.5 热力学第一定律(能量守恒定律)
-
5.1.6 完全气体流动的等熵关系式
-
5.2 微弱扰动波的传播 声速
-
5.2.1 声波
-
5.2.2 声速
-
5.2.3 马赫(Mach)数
-
5.3 一元等熵流动的基本关系
-
5.3.1 滞止状态
-
5.3.2 临界状态
-
5.3.3 最大速度状态
-
5.4 一元等熵气流在变截面管中的流动
-
5.4.1 气流参数与通道截面积之间的关系
-
5.4.2 收缩喷管
-
5.4.3 缩放喷管(拉伐尔(Laval)喷管)
-
6 量纲分析与相似原理
-
6.1 量纲分析与相似原理
-
6.2 单位与量纲
-
6.3 量纲分析方法
-
6.4 流动相似原理
-
6.4.1 动力相似
-
6.4.1.1 例题(一)
-
6.4.1.2 例题(二)
-
6.4.2 自模化
伯努利方程应用举例


选择班级