物理化学

康杰

目录

  • 绪论
    • ● 绪论
  • 第一章 气体的PVT关系
    • ● 理想气体PVT关系
    • ● 真实气体
  • 第二章 热力学第一定律
    • ● 热力学基本概念
    • ● 热力学第一定律
    • ● 恒容热、恒压热、焓
    • ● 摩尔热容
    • ● 相变焓
    • ● 化学反应焓
    • ● 标准摩尔反应焓计算
    • ● 可逆过程与可逆体积功
    • ● 复习+测验课
      • ● 习题讲解
  • 第三章 热力学第二定律
    • ● 热力学第二定律
    • ● 卡诺循环与卡诺定理
    • ● 熵、熵增原理
    • ● 单纯PVT变化熵变的计算
    • ● 相变过程熵变的计算
    • ● 热力学第三定律和化学变化过程熵变的计算
    • ● 亥姆霍兹函数和吉布斯函数
    • ● 热力学基本方程及麦克斯韦关系式
    • ● 克拉佩龙方程
    • ● 复习与总结
  • 第四章 多组分系统热力学
    • ● 偏摩尔量
    • ● 化学势
    • ● 气体组分的化学势
    • ● 拉乌尔定律和亨利定律
    • ● 理想液态混合物
    • ● 理想稀溶液
    • ● 活度及活度因子
    • ● 稀溶液的依数性
  • 第五章 化学反应平衡
    • ● 化学反应的方向及平衡条件
    • ● 理想气体反应的等温方程及标准平衡常数
    • ● 平衡常数及平衡组成的计算
    • ● 温度对标准平衡常数的影响
    • ● 其它因素对理想气体反应平衡移动的影响
  • 第六章 相平衡
    • ● 相律
    • ● 单组分系统相图
    • ● 二组分理想液态混合物的气-液平衡相图
  • 四、五、六章小测
    • ● 小测二
  • 第七章 电化学
    • ● 7.1-7.3电极过程-摩尔电导
    • ● 7.4-7.5 离子平均活度和可逆电池
    • ● 7.6-7.7原电池热力学+电动势计算
    • ● 7.8 电极的种类-7.11极化作用
    • ● 知识点总结+章节小测
  • 第十章 界面现象
    • ● 界面张力
    • ● 弯曲界面的附加压力
    • ● 固-液界面
  • 化学动力学
    • ● 化学反应的反应速率及速率方程
    • ● 反应级数的测定及温度对速率的影响
    • ● 章节总结+小测
    • ● 实验
  • 总复习
    • ● 复习资料1
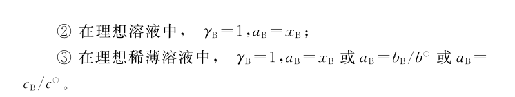
活度及活度因子