一、高强度螺栓的分类
1.按材质分类

2.按受力状况分类

摩擦型连接以摩擦力刚要被克服为极限状态,剪切变形小,孔径可较大,便于安装;
承压型连接以栓杆剪坏或孔壁压坏为极限状态(与普通螺栓相同),孔径较摩擦型偏小,避免出现较大滑移变形。
二、高强螺栓的传力机理



高强度螺栓连接分为两类,一类是高强度螺栓摩擦型连接,另一类是高强度螺栓承压型连接。
摩擦型高强度螺栓连接收到上图所示外力N的作用时,是依靠板件间的摩擦力来承受荷载。为此,必须拧紧螺帽使螺杆中产生较高的预拉力,同时钢板接触面间产生较大的预压力。因而螺栓、螺帽垫圈等均需用高强度钢材制造;板件接触面必须清理和除锈,使承受荷载后板件间有较大的摩擦力。
高强度螺栓摩擦型连接以板件间的摩擦力刚要被克服作为承载力极限状态。连接中的螺栓孔壁不承压,螺杆不受剪。
高强度螺栓摩擦型连接变形小,连接紧密,耐疲劳,易安装,可拆换,动力荷载下不易松动,广泛应用于高层建筑,大跨度房屋,重型厂房、大型构件的现场拼接等,取代了铆钉和精制螺栓连接。
高强度螺栓承压型连接对螺栓材质、预拉力的大小和施工安装等的要求与摩擦型完全相同,只是它以摩擦力被克服、节点板件发生相对滑动后孔壁承压和螺栓受剪破坏为承载能力极限状态,因此其承载力高于高强度摩擦型连接,可节省连接材料;但因其摩擦力被克服后将产生一定的滑移变形,因而应用受到限制。设计规范规定他只能应用于承受静力荷载和间接动力荷载的结构中。
螺栓孔径较摩擦型小(d+1.0~1.5mm),与普通螺栓连接中的粗制螺栓孔相同。
连接处构件接触面的表面处理要求较摩擦型连接为低,仅要求清除油污及浮锈。
高强度螺栓承压型连接的工作性能与普通螺栓完全相同,只是由于螺杆预拉力的作用和高强度钢的应用使连接性能优于普通螺栓连接。
三、高强螺栓的设计准则

四、高强度螺栓的设计参数
现行标准《钢结构设计标准》GB50017-2017,更新表格:

高强度螺栓摩擦型连接主要是依靠拧紧螺帽使螺杆中产生较高的预拉力,从而使板件间产生较高的预压力,而后依靠板件间的摩擦力传递荷载,并以摩擦力将要被克服作为连接的承载力极限状态。
因此,如何保证螺栓中具有设计要求的预拉力是保证质量的首要关键,其次,必须使板件在连接部分有很好的接触和较高的摩擦系数(规范中称为抗滑移系数)。


五、高强度螺栓摩擦型连接的计算方法
高强度螺栓连接的承载力和计算方法——MOOC视频:
1.高强度螺栓摩擦型抗剪连接

1)一个摩擦型高强度螺栓的抗剪承载力设计值

2)验算:一个螺栓所受剪力NV≤NVb
附:现行标准《钢结构设计标准》GB50017-2017,相关规定更新:


1)高强度螺栓承压型连接采用标准圆孔时,其孔径d。可按表11. 5. 1 采用;
2)高强度螺栓摩擦型连接可采用标准孔、大圆孔和槽孔,孔型尺寸可按表11. 5. 1 采用;采用扩大孔连接时,同一连接面只能在盖板和芯板其中之一的板上采用大圆孔或槽孔,其余仍采用标准孔;
3)高强度螺栓摩擦型连接盖板按大圆孔、槽孔制孔时,应增大垫圈厚度或采用连续型垫板,其孔径与标准垫圈相同,对M24 及以下的螺栓,厚度不宜小于8mm ;对M24 以上的螺栓,厚度不宜小于10mm 。
2. 高强度螺栓摩擦型抗拉连接

1)一个摩擦型高强度螺栓的抗拉承载力设计值:

2)验算:一个螺栓所受到的拉力Nt≤Ntb————可控制连接贴紧,不松动
一个高强度螺栓在未受外加拉力Nt作用时,截面上已有较高的预拉力P,今令其在承受外加拉力Nt,则其杆轴方向的内力不会增大为P+Nt。
理论上,若不考虑连接的弹性变形,只要外加拉力Nt≤P,则螺杆内沿杆轴方向的拉力始终为P;只有当Nt>P时,内力将变成Nt。
3.高强度螺栓摩擦型连接同时受剪、拉作用

剪、拉同时作用,两者相互影响,验算公式如下:

六、高强度螺栓承压型连接的计算方法
除剪拉螺栓孔壁承压时承载力验算时,表达式考虑1/1.2的系数外,高强度承压型螺栓连接的计算与普通螺栓相同,只是材料强度和参数不同。
附:现行标准《钢结构设计标准》GB50017-2017,相关规定:



七、高强度螺栓连接的计算
1.摩擦型高强螺栓群受轴力N作用——钢板搭接,连接受拉,螺栓受剪

1)螺栓抗剪验算:

2)钢板净截面抗拉强度验算:
净截面受力N’:

净截面应力验算:

高强度螺栓摩擦型连接的净截面强度计算与普通螺栓连接不同。
高强度螺栓摩擦型连接是依靠摩擦力传递荷载的, 摩擦力分布在每个螺栓中心附近的有效摩擦面上,根据试验,有效摩擦面的直径为3d以上。
计算假定每个螺栓的有效摩擦面均匀受力,则在验算板件最外排螺栓处的净截面强度时,一部分力在孔前已由有效摩擦面上的摩擦力传给另一个板件,每个高强螺栓孔前传力为50%,即孔前传力系数为0.5。
2.摩擦型高强螺栓群受弯矩M作用——连接受弯,螺栓受拉
连接保持不松动,所螺栓均处于受拉状态,螺栓群绕形心线旋转!
最上一排螺栓受拉最大。

验算最上一排螺栓受拉:

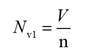
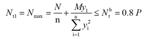
3.摩擦型高强螺栓群受弯矩M、剪力V和轴力N作用

1)剪力作用下,每个螺栓均受剪力Nv1:

2)弯矩M和轴拉力N作用下,最上一排螺栓受拉最大Nt1:

3)高强度剪拉螺栓验算:


