3.7 角焊缝的构造与计算
角焊缝受力复杂,不如对接焊缝明确,传力没有对接焊缝直接,但由于角焊缝连接不需要对焊件边缘进行加工,对板件断料尺寸的精度要求也没有对接焊缝高,因而,角焊缝在钢结构中的应用远多于对接焊缝。
除对接焊缝和角焊缝外,还有一些次要的焊缝形式,如塞焊缝、槽焊缝、点焊缝,因为设计中不用他们作主要的传力连接,而是作为除角焊缝外的辅助连接焊缝。
一、角焊缝的形式
角焊缝主要用于搭接接头和T形接头。
1.根据两焊脚边的夹角划分
(a)直角角焊缝,两焊脚间的夹角为直角,为多数角焊缝情况,通常简称为角焊缝。
(b)斜角角焊缝

除钢管结构外, 对于α>135o或α<60o斜角角焊缝, 不宜用作受力焊缝。
2.按焊缝截面形式划分
(a)普通型——施焊方便,最常用
(b)平坡型、(c)深熔型——适用于动力荷载作用情况,但施焊不方便

在直接承受动力荷载的结构中,正面角焊缝宜采用平坦型,且长边沿内力方向。
3.按角焊缝与外力间的关系划分
1)正面角焊缝:作用力方向与焊缝长度方向垂直
2)侧面角焊缝:作用力方向与焊缝长度方向平行
3)斜焊缝:作用力方向与焊缝方向斜交

二、角焊缝的构造
——角焊缝的构造视频链接(时长05:26,建筑云课)
http://ai.glodonedu.com/front/preview/video?id=3399806088999275930&isSys=false
1.角焊缝的焊脚尺寸hf
1)焊脚尺寸hf
焊脚尺寸是指角焊缝根角至焊缝截面外边缘(焊趾)的尺寸。
角焊缝中应用最多的就是两焊脚hf相等的直角角焊缝。
直角角焊缝各部分的尺寸名称如下图所示。
焊脚尺寸hf要求:
不应太小 —— 否则不能焊透,导致实际承载力不足;焊缝冷却太快容易开裂
不应太大 —— 否则焊缝冷却后产生较大变形;使焊件过烧,较薄焊件容易烧穿

设计焊角尺寸hf应满足:hf,min≤hf≤hf,max
2)最大焊脚尺寸hfmax
除钢管结构除外,hf,max应满足:hf,max≤1.2t1 ,式中: t1为较薄焊件厚度。

对于板件边缘(下图厚度为t)的角焊缝:
当t≤6mm时,hf,max≤t;
当t >6mm时, hf,max≤ t -(1~2)mm。

3)最小焊脚尺寸hf,min
hf,min应满足:
,式中 t为较厚焊件厚度,hf取整mm数,小数点以后只进不舍。
另外:
对埋弧自动焊hf,min可减小1mm;
对T形连接单面角焊缝hf,min应增加1mm;
当t≤4mm时, hf,min=t.
2.角焊缝的计算长度lw
1)角焊缝的最小计算长度lw,min
对于焊脚尺寸大而长度小的焊缝,焊件局部加热严重且起灭弧坑相距太近,使焊缝不可靠。焊缝越短应力集中也越严重,故根据经验,规定:
lw≥8hf,且≥40mm
此规定适合正面角焊缝和侧面角焊缝。
当焊件的焊接长度不受限制时,在满足最大焊缝长度的要求下,小而长的焊缝比大而短的焊缝好!
2)侧面角焊缝的最大计算长度lw,max
lw≤60hf
当实际长度大于以上值时,计算时不考虑超过部分的强度;但当内力沿侧焊缝全长分布时,不受上式限制。
侧面角焊缝的计算长度:lw,min≤lw≤lw,max
3.搭接连接角焊缝的构造要求
当板件与节点板的连接仅用两侧缝焊接时:
1)lw≥b,式中lw为侧焊缝计算长度;b为两侧焊缝的距离
——为避免应力传递过分弯折导致应力不均
2)b≤16t1(t1>12mm)或b≤190mm(t1≤12mm),式中t1为较薄焊件厚度
——为避免焊缝横向收缩引起的板件拱曲太大;不满足此条件时,应加塞焊或采用三面围焊!

3)角焊缝的端部位于构件转角处时,应作2hf的绕角焊,且转角处必须连续施焊。
——避免起落弧加剧转角处的应力集中
4)在搭接连接中,搭接长度不得小于焊件较小厚度的5倍,且不得小于25mm
——减少焊接残余应力

三、直角角焊缝的受力性能
1.侧面角焊缝
如图所示,焊缝轴线与外力平行,为侧面直角角焊缝搭接接头

图1 侧面直角角焊缝搭接接头破坏状态
侧面角焊缝搭接接头受力性能:
1)接头承受轴心拉力,焊缝承受剪力,接头的强度较低
2)由于钢的剪切变形模量G=E/2.6,远较弹性模量E为小,受力时接头的纵向变形较大,但塑性性能好
接头破坏特征:
1)破坏时焊缝截面被剪切为2部分,焊缝下半部连于下板件,焊缝上半部连于上板件
2)破坏截面一般为近似45︒的斜平面


图2 有效截面上剪应力沿长度lw的分布随lw/he的变化规律
焊缝有效截面上剪应力的分布:
1)剪应力在有效截面上沿长度lw的分布不均匀,两端剪应力较大,中间较小
2)焊缝越长,不均匀分布的程度越大——图2(b)
3)破坏前由于塑性变形的发展,可逐渐趋向均匀
所连接板件中的拉应力分布:
在所连接的板件中,远离接头截面上的拉应力分布均匀,但愈靠近接头处,板件中的拉应力由于都需通过两条侧面角焊缝传递而呈现不均匀分布——图4.28(a)
2.正面角焊缝(也叫端焊缝)
如图,焊缝轴线与外力方向垂直,为正面角焊缝搭接接头

图3 正面角焊缝搭接接头受力状态

图4 正面角焊缝截面应力分布
图5 正面角焊缝搭接接头破坏模式
正面角焊缝截面上的应力分布:
1)正面角焊缝受力复杂,各截面均存在正应力和剪应力,且分布不均匀;
——竖向焊脚面BC上主要受拉应力sx,但沿高度分布不均匀且根部较大——图3,图4
——水平焊脚面AB上主要受剪应力tyx——图3,图4
2)应力在焊缝长度上的分布较为圴匀(两端小,中间稍大,见图3)
3)焊根(B)处存在很严重的应力集中,常常是开裂的起源点
原因——力线弯折;B处正好是两焊件接触面的端部,相当于裂缝的尖端
正面角焊缝的受力性能:
1)正面角焊缝的破坏强度较侧面角焊缝大,一般可大1/3左右
原因:正面角焊缝的应力沿长度lw方向分布较均匀
2)正面角焊缝的刚度较大,受力时纵向变形小,塑性性能差
3)破坏截面常常不是45︒的斜平面
3.斜焊缝
斜焊缝的受力性能介于侧面角焊缝和正面角焊缝之间

图6 角焊缝应力与变形间的关系
四、直角角焊缝的计算
1.角焊缝的计算假定
1)计算截面:以45︒方向的焊缝截面为计算时的破坏面
计算角焊缝时,对熔深和余高均不计及,一般假定焊缝截面为一直角三角形,并以45︒方向的斜截面为计算截面,或称为有效截面,即假定破坏面(截面尺寸最小,偏于安全)。
有效截面尺寸:
he×lw,he=0.7hf,称为有效厚度或计算厚度;lw=每条连续焊缝的长度-2hf(每端扣hf )


2)角焊缝的抗拉、抗压、抗剪强度设计值均取相同数值,并记为ffw,上角标w指焊缝weld,下角标f指角焊缝fillet weld

3)在通过焊缝形心的拉力、压力或剪力的作用下,焊缝截面上的应力沿长度lw方向均匀分布
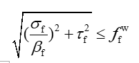
2.角焊缝的计算公式
1)如图所示,焊缝受到通过形心的拉力、压力或剪力的综合作用时

直角角焊缝强度计算的通用公式如下:

式中:
sf——垂直焊缝长度方向的计算应力(N/mm2)
tf——平行焊缝长度方向的计算应力(N/mm2)
ffw——角焊缝的强度设计值(N/mm2)
bf——正面角焊缝强度增大系数,静载和间接承受动载时bf=1.22,对直接承受动载的结构,bf=1.0
Nx——与焊缝长度方向平行的外力(kN)
Ny——与焊缝长度方向垂直的外力(kN)
2)简单受力情况
当Nx不等于0,Ny=0时,作用力与焊缝长度平行,焊缝为侧面角焊缝,sf =0,通用公式简化为:

当Nx=0,Ny不等于0时,作用力与焊缝长度垂直,焊缝为正面角焊缝,tf =0,通用公式简化为:

3. 角焊缝的计算步骤
1)焊缝(焊缝群)内力分析
轴力、剪力及联合作用
弯矩及与轴力、剪力的共同作用
扭矩及与轴力、剪力的共同作用
2)焊缝群截面特性计算
焊缝计算长度——非连续焊缝计算长度Lw=L-n×hf;
连续焊缝只考虑起弧和落弧处的扣除hf
焊缝群几何参数——形心轴确定、有效截面积、截面模量计算等
3)应力计算
确定计算应力sf、tf
4)强度校核

角焊缝构造及受力性能视频链接:——约35分钟(MOOC)
4.角焊缝的计算——本段以下内容无视频
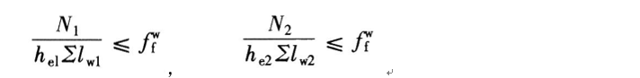
典型节点1——拼接板连接——受轴力N作用

说明:轴力N与焊缝长度方向平行,为侧面角焊缝,焊缝对称分布,受力相同,直接用合力N除以焊缝截面尺寸即可得到平行焊缝的计算应力tf

说明:轴力N与焊缝长度垂直,为正面角焊缝,静载下,正面角焊缝的强度须乘以强度增大系数bf=1.22

说明:
1)四周围焊时,端焊缝的长度是确定的,等于板宽,因此可以先确定端焊缝的受力N1,则测焊缝的受力即为N2=N-N1,然后即可验算侧面焊缝。
2)如果焊缝承受直接动力荷载作用,则端焊缝的强度增大系数bf=1.0,也即此时端焊缝和侧面角焊缝的强度相等,因此可以简化为统一的一条焊缝验算即可。

说明:四周围焊切角后就是如图所示的菱形焊,同时存在斜焊缝、正面角焊缝与侧面角焊缝,强度各不相同,为简化计算,直接取三者的最小值即侧面角焊缝的强度值计算,因此也可简化为一条焊缝统一计算。
典型节点2——角钢与拼接板的连接——受轴力N作用

说明:
作用在两个角钢形心轴上的轴力N通过肢背2条焊缝和肢尖2条焊缝传递给中间点节点板,肢背2条焊缝距离角钢形心轴较近,肢尖2条焊缝距离角钢形心轴较远,所以肢背受力N1较肢尖受力N2为大,N1、N2的分配可由以下平衡条件得出:

(e1、e2由角钢的型号查型钢表得到)
接着,根据侧面角焊缝的计算公式验算如下:

式中,k1、k2是角钢肢背、肢尖焊缝内力分配系数,该系数与角钢的形式及连接方式有关,不同情况下k1、k2的取值见下表。

典型节点2——角钢与拼接板的连接——受轴力N作用

说明:
三面围焊情况下,焊缝增加了端部的2条角焊缝,轴力N由6条焊缝共同传递给中间点节点板,为保证肢尖肢背焊缝强度的充分利用,计算过程如下:
1)先确定端焊缝(正面角焊缝)所承担的内力N3
端焊缝的长度lw3就是角钢并肢的肢宽,因此可直接由角焊缝的强度条件确定如下:

2)由于N3的作用位置在角钢肢宽的中点,根据力的平衡和内力分配系数,可得肢背、肢尖焊缝的内力N1、N2满足下式:

3)验算肢背、肢尖侧面角焊缝

典型节点3——梁柱连接——弯矩、剪力、轴力共同作用(以下内容选学)

说明:
1)此节点为工字形梁和工字形柱通过角焊缝连接的节点,与对接焊缝不同(对接焊缝截面和梁截面相同),焊缝截面不连续,中间图为整个焊缝截面的截面形状和尺寸示意图。
2)该节点均采用角焊缝连接,上下翼缘和腹板均为双面角焊缝,分别在翼缘和腹板的两侧,因此焊缝截面不连续,腹板有两条焊缝,上下翼缘各有3条焊缝,计算焊缝截面特性时应分别考虑。
3)焊缝截面受弯矩M、轴力N及剪力V的作用,截面仍属于工字形截面,计算受力如下:
弯矩M作用下,整个截面均受力,上翼缘外侧焊缝受拉最大,下翼缘外侧焊缝受压最大;
轴力N作用下,整个截面均匀受拉;
剪力V作用下,按简化方式考虑,不考虑翼缘焊缝截面的受剪(因相比数值很小),也即仅腹板焊缝受剪力。
4)从另一方面说就是:
翼缘焊缝受M、N的作用,属于正面角焊缝,仅有垂直焊缝长度的应力sf;
而腹板焊缝在M、N作用下产生垂直焊缝长度的应力sf,在剪力V作用下产生平行焊缝长度的应力tf,属于综合受力情况。
5)依照上述受力方式,对于此不连续焊缝截面,应进行以下2点的强度验算:
一是上翼缘外侧焊缝处,图中所示a点
原因:a点焊缝所受拉应力最大,拉应力由弯矩M和轴力N共同引起,力的方向与焊缝长度垂直,焊缝按正面角焊缝计算;
二是腹板焊缝与上翼缘内侧焊缝的交接处,图中所示b点
原因:对于腹板焊缝来说,其一b点拉应力最大(受M和N叠加作用,只比a点拉应力稍小),其二由V产生的剪应力在整个腹板焊缝上均匀分布,因此按照角焊缝在综合受力下的通用公式验算。
6)验算:


