3.6对接焊缝的构造与计算
对接焊缝是在焊件的坡口面间或一焊件的坡口面与另一焊件的端(表)面间焊接的焊缝,主要用于厚度相同或相近的两个构件间的连接。
一、对接焊缝的特点
1)构造简单,传力直接、受力明确,基本不产生应力集中,焊缝受力性能良好;
2)对焊接板材断料长度的精度(即施焊间隙)要求严格,对厚板需要进行边缘坡口加工,因而一般多用于工厂制造连接。
二、对接焊缝的坡口形式
指对接焊件边缘的加工形式,包含形状和尺寸两方面的内容,目的是为了保证施焊时既能保证焊透又要避免焊液烧漏。
对接焊缝的边缘因需要进行坡口加工,故这种焊缝又名坡口焊缝。
一般情况下,常见的坡口形式及应用条件如图所示。
具体应用情况与焊接方法有关,见《建筑钢结构焊接技术规程》(JGJ81-2002),如手工焊t<6mm可不做坡口,采用直边缝。

三、对接焊缝的构造处理
1)在焊缝的起灭弧处,常会出现弧坑等缺陷,易产生应力集中和裂纹,故焊接时可设置引弧板和引出板,焊后将它们割除。对承受静力荷载时,允许不设置引弧板。

2)当板件厚度或宽度在一侧相差大于4mm时,应做坡度不大于1:2.5的斜角,以平缓过度,减小应力集中。对于直接受动力荷载且需要进行疲劳计算的结构,斜角坡度应不大于1:4。


3)为保证焊透,在一侧施焊完毕后,需翻过来在反面清除根部后进行一次补焊(称为封底焊),若无条件进行封底焊,则应在正面施焊时在焊缝的根部加设临时垫板。见下图4.10。
V形焊缝坡口的各部分尺寸如图。

四、对接焊缝的计算截面
对接焊缝分为焊透和部分焊透两种,后面不做特殊说明,均指焊透的对接焊缝。
对接焊缝可视作焊件的一部分,故其焊缝截面与焊接板件的尺寸相同。
焊缝截面厚度t--焊缝所连接板件的较薄厚度;
焊缝截面计算长度lw--采用引弧板时,焊缝全长有效;未采用引弧板时,计算焊缝长度=焊缝长度减去2t,t为较薄焊件的厚度。
W——表示焊缝,英文weld
五、对接焊缝的计算
对接焊缝可视作焊件的一部分,故其计算方法与构件强度计算相同。
相当于把对接焊缝认为是构件的一个截面来计算。
1.轴心受力的对接焊缝:
(1)基本公式

lw——焊缝计算长度,无引弧板和引出板时,焊缝计算长度取实际长度b减去2t;有引弧板时,取实际长度b;
t——连接件的较小厚度,对T形接头为腹板的厚度;
ftw、fcw——对接焊缝的抗拉、抗压强度设计值。
(2)当不满足上式时,可采用斜对接焊缝连接

lw’——斜焊缝计算长度。设引弧板时,lw’=b/sinθ;不设引弧板时,lw’=b/sinθ-2t。
fvw——对接焊缝抗剪设计强度
经计算,规范规定:当tgθ≤1.5时,即θ≤56.3︒,对接斜焊缝强度不低于母材,可不用验算。
——说明:焊缝的强度与钢材强度的比较(请注意以下两个表格及两个小注)
焊缝强度符号有上角标w(表示焊缝weld);
钢材强度符号无上角标;
下角标t、c、v分别表示抗拉、抗压和抗剪,与建筑结构相同。


1)在一般加引弧板施焊的情况下,所有受压、受剪的对接焊缝以及受拉的一、二级焊缝,均与母材等强,不用计算。
从上面表中可以看出:
焊缝抗压=母材抗压,fcw=f;
焊缝抗剪=母材抗剪,fvw=fv;
一二级焊缝抗拉<母材抗拉,ftw约=0.85f
2)对接焊缝需要计算焊缝强度的只有两种情况:
①没有引弧板时需要计算
——焊缝截面长度小于母材截面宽度
②受拉情况下的三级焊缝
——焊缝截面抗拉强度小于母材抗拉强度
——对接焊缝应用小结:
焊缝截面数量远小于母材截面,当焊缝承载力低于母材时,钢材的强度就不能得到充分利用。
为使钢结构的材料强度得到充分发挥,通常做法如下:
1)对一二级焊缝,焊接时加设引弧板,则焊缝截面尺寸及强度均与母材相同,整个长度上钢板为等强;
2)对三级焊缝,因焊缝强度小于母材,此时,加大焊缝截面尺寸,即采用斜缝的处理方式,使焊缝截面承载力与母材相同。考虑施工方便,通常采用45︒斜缝处理。
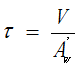
2.弯矩M和剪力V共同作用下的焊缝——梁中的焊缝截面
梁的形式有以下2种,平板梁和工字形梁,平板梁即矩形截面梁。
(a)平板梁及截面应力分布
(b)工字形梁及截面应力分布

对接焊缝相当于梁的一部分,焊缝截面的强度验算相当于验算梁的某个截面强度,计算方法及公式与建筑力学中梁的强度验算相同。

式中:
M、V——焊缝截面所受的弯矩和剪力;
Wx、IW、Sw——焊缝截面的截面模量、惯性矩和面积矩;
s1、t1、szs——焊缝截面工字形腹板根部处的正应力、剪应力和折算应力;
ftw、fcw、fvw——对接焊缝的抗拉、抗压、抗剪强度设计值;
1.1——局部应力强度增大系数。
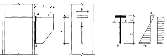
——柱牛腿处,承受竖向力F作用,柱为工字形,牛腿为T形;牛腿与柱为对接焊缝连接,焊接截面为T形,焊缝承受弯矩M=Fe和剪力V=F的共同作用;焊缝截面的M由整个T形截面承担,而T形截面翼缘承担剪力很小,计算时考虑牛腿腹板承受所有剪力,这点与一般梁的计算不同。


六、工字梁焊缝截面强度验算示例

七、对接焊缝的计算步骤
1.确定计算截面上的内力(荷载效应)
——截面法
--注意点:防止内力漏项
2. 确定焊缝质量检验等级
--根据结构重要性、荷载特性、焊缝形式、工作环境以及应力状态等
--对接焊缝一般均有全熔透要求,等级为二级或一级
3. 确定焊缝强度设计值(查GB50017,表4.4.5)
——抗拉强度ftw
——抗压强度fcw
——抗剪强度fvw
4. 计算焊缝截面特性
——截面面积A、惯性矩I、截面模量W、面积矩S等
5. 应力计算(最大应力及折算应力)
6. 强度校核
八、本节视频链接——约37分钟

