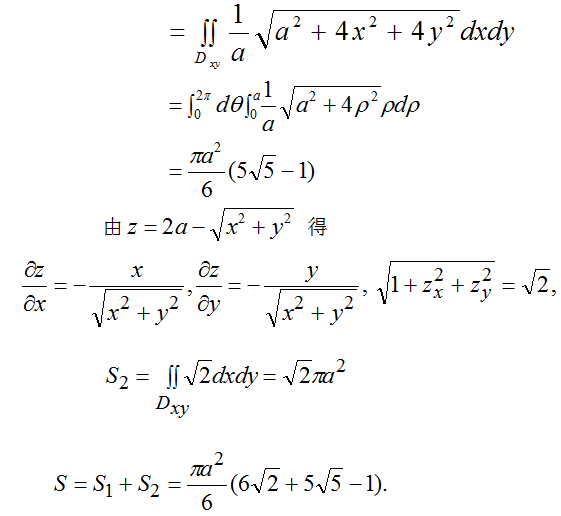
重积分的应用Ⅰ
-
1
-
2 练习与测验
-
3
上一节
下一节



![]()



目录



![]()


