三重积分的计算Ⅰ
-
1
-
2 练习与测验
-
3
上一节
下一节





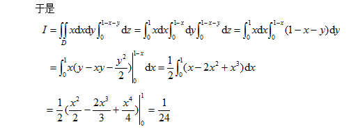
对三重积分积分限的说明:
无论是“先一后二”法还是“先二后一”法,一般最后都化为三次积分,确定三次积分的上下限是关键,需要注意以下几点:
(ⅰ)外层积分的积分限为常数;
(ⅱ)中间一层积分的积分限仅含一个变量(即外层积分的积分变量);
(ⅲ)内层积分的积分限含两个变量(即外面两层积分的积分变量).

