实验一 电阻式传感器的单臂电桥性能实验
一、实验目的
1、了解电阻应变式传感器的基本结构与使用方法。
2、掌握电阻应变式传感器放大电路的调试方法。
3、掌握单臂电桥电路的工作原理和性能。
二、实验所用单元
电阻应变式传感器、电阻与霍尔式传感器转换电路板(调零电桥)、差动放大器、直流稳压电源、数字电压表、位移台架。
三、实验原理及电路
1、电阻丝在外力作用下发生机械变形时,其阻值发生变化,这就是电阻应变效应,其关系为:ΔR/ R=Kε,ΔR为电阻丝变化值,K为应变灵敏系数,ε为电阻丝长度的相对变化量ΔL/ L。通过测量电路将电阻变化转换为电流或电压输出。
2、电阻应变式传感如图1-1所示。传感器的主要部分是上、下两个悬臂梁,四个电阻应变片贴在梁的根部,可组成单臂、半桥与全桥电路,最大测量范围为±3mm。

1─外壳 2─电阻应变片 3─测杆 4─等截面悬臂梁 5─面板接线图
图1-1 电阻应变式传感器
3、电阻应变式传感的单臂电桥电路如图1-2所示,图中R1、R2、R3为固定,R为电阻应变片,输出电压UO=EKε,E为电桥转换系数。

图1-2 电阻式传感器单臂电桥实验电路图
四、实验步骤
1、固定好位移台架,将电阻应变式传感器置于位移台架上,调节测微器使其指示15mm左右。将测微器装入位移台架上部的开口处,将测微器测杆使其与电阻应变式传感器的测杆磁钢吸合,然后调节两个滚花螺母使电阻式应变传感器上的两个悬梁处于水平状态,两个滚花螺母固定在开口处上下两侧。
2、将实验箱(实验台内部已连接)面板上的±15V和地端,用导线接到差动放大器上;将放大器放大倍数电位器RP1旋钮(实验台为增益旋钮)顺时针旋到终端位置。
3、用导线将差动放大器的正负输入端短接,再将其输出端接到数字电压表的输入端;电压量程切换开关拨至20V档;接通电源开关,旋动放大器的调零电位器RP2旋钮,使电压表指示向零趋近,然后切换到2V量程档,旋动调零电位器RP2旋钮使电压表指示为零;此后调零电位器RP2旋钮不再调节,根据实验适当调节增益电位器RP1。
4、按图1-2接线,R1、R2、R3(电阻传感器部分固定电阻)与一个的应变片构成单臂电桥形式。
5、调节平衡电位器RP,使数字电压表指示接近零,然后旋动测微器使电压表指示为零,此时测微器的读数视为系统零位。分别上旋和下旋测微器,每次0.4mm,上下各2mm,将位移量X和对应的输出电压值UO记入下表中。
表 1-1
五、实验报告
1、根据表1-1中的实验数据,画出输入/输出特性曲线
,并且计算灵敏度和非线性误差。
2、传感器的输入电压能否从+5V提高到+10V?输入电压的大小取决于什么?
3、分析电桥测量电阻式传感器特性时存在非线性误差的原因。
实验十七 光电式传感器的转速测量实验
一、实验目的
1、了解光电式传感器的基本结构。
2、掌握光电式传感器及其转换电路的工作原理。
3、掌握差动变压器的调试方法。
二、实验所用单元
光电式传感器、光电式传感器转换电路板、直流稳压电源、频率与转速表、数字电压表、 位移台架。
三、实验原理及电路
1、光断续器原理如图17-1所示,一个开口的光耦合器,当开口处被遮住时,光敏三极管接收不到发光二极管的光信号,输出电压为0,否则有电压输出。


图17-1 光断续器示意图 图17-2 测速装置示意图
2、图17-2为测速装置示意图,其中微型电动机带动转盘在两个成90度的光继续器的开口中转动,转盘上一半为黑色,另一半透明,转动时,两个光继续器将输出不同相位的方波信号,这两个方波信号经过转换电路中的四个运放器,可输出相位差分别为0°、90°、180°、270°的方波信号,它们的频率都是相同的,其中任意一个方波信号均可输出至频率表显示频率。原理如图17-3所示。
3、微型电动机的转速可调,电路图如图17-4所示,调节电位器RP可输出0~12V的直流电压。

图17-3 光电传感器实验原理图

图17-4 电机调速电路图
四、实验步骤
1、固定好位移台架,将光电式传感器置于位移台架上,将传感器上的A、B点与转换电路板上的A、B点相连;转换电路板上的0~12V输出接到传感器上;转换电路的A、B与0°、90°、180°、270°输出均可接至频率与转速表。
2、接通电源,调节电位器RP使输出电压从最小逐渐增加到最大,观察数字电压表上显示的电压以及频率表上显示的频率的变化情况。
五、实验报告
怎样根据显示的频率换算出电动机的转速?
实验二十六 温度传感器及温度控制实验(AD590)
一、实验目的
1、熟悉半导体型温度传感器AD590的基本性能。
2、应用AD590实现对温度的检测和简单控制。
二、实验所用单元
保温盒(内附温度传感器)、温度传感器转换电路板、温度控制电路板、玻璃管水银温度计、直流稳压电源、低压交流电源、数字电压表、位移台架
三、实验原理及电路
1、温度传感器电路如图26-1所示。AD590能把温度信号转变为与绝对温度值成正比的电流信号I0,比例因子为1μA/K。通过运算放大器实现电流运算
,在运算放大器输出端得到与温度成线性关系的电压UO。
通过调节电位器RP1和RP2,可以使UO在被测温度范围内具有合适数值。例如被测温度范围为0~100℃,则可在0℃时,调节RP1使UO为0V;在100℃时,调节RP2使UO为5V,这样被测温度每变化1℃对应UO变化50mV。

图26-1 温度传感器实验原理图
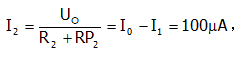
在本实验中,由于0℃和100℃这两个温度不便得到,因此温度/电压的标定采用理论值推算的方法。在0℃下AD590的电流理论值为273.2μA,要使输出电压UO为0V,则I0与I1相等:
那么
100℃下AD590的电流理论值为373.2μA,此时要使UO为5V,则:
那么
2、如果将转换电路的输出电压连接到加热及温度控制电路中(图24-2)的电压比较器,通过继电器控制保温盒电热元件的通电或断电,这样根据电压比较器调温端的基准电压大小,就能使保温盒内的温度保持在某一数值范围内。

图26-2 加热及温度控制电路图
四、实验步骤
1、固定好位移台架,将内装温度传感器的保温盒置于位移台架上,将水银温度计插入保温盒内,轻靠在温度传感器上。
2、在此实验中,我们用输出电压UO反映实测温度,用温度计作为校核标准。根据上述理论推算方法,在温度传感器转换电路板上,调整好RP1和RP2的阻值。
3、按照图26-1和图26-2接线,将实验箱(台)面板、转换电路板和温度传感器小板上的有关点相连,另外连接E点和Q点,将面板上数字电压表置于20V档,转换电路板上K2打在B2(低温)侧。
4、接通电源(加热电源开关K1断开),经过几分钟,等待电路工作稳定,此时实验系统所测量的温度为室温t。细调RP1使输出电压UO与室温相对应,其数值的关系为
。
5、调节电位器RP4,使温度给定电压为2V,即表示设定温度为40℃,接通加热电源开关,观察升温过程。
在升温过程中,由于温度计的热惯性比AD590小,因此温度计指示值要慢于UO的变化。此时转换电路板上的红色指示灯VD1灭,继电器J断开,传感器小板上的绿色指示灯亮,表示处于加热过程。
当UO达到2V时,继电器J吸合,断开加热电源,但温度仍会继续稍有上升,然后下降。当UO降到2V左右时,继电器J断开,接通加热电源,温度仍会继续稍有下降,然后上升。经过几次这样的循环,温度变化范围会稳定下来。
如果温度计的平均指示值小于40℃,应适当减小RP2的阻值,反之则要增加。调整RP2,使温度计的平均指示值尽量接近40℃。
6、调节RP4,使给定电压为2.5V,设定温度为50℃,重复上一步骤。
五、实验报告
1、实验内容中所采用的调节方法:先调节室温下的RP1,再调节40℃下的RP2,如果不考虑其它因素,这种方法是否是最合适的?为什么?
2、说明本实验中的温度控制原理,这种控制方法有什么优缺点?
实验二十七 K型热电偶的温度控制实验
一、实验目的
了解K型热电偶的特性与应用。
二、实验所用单元
加热室、K型热电偶(温度控制用)、K型热电偶(测量用)、温度控制单位、热电偶、热电阻传感器转换板、数字电压表、万用表(自备)
三、实验原理及电路
当两种不同的金属组成回路,如二个接点处的温度不同,在回路中就会产生热电势,这就是热电效应。温度高的接点称为工作端,置于被测温度场,温度低的接点称为冷端(或自由端),冷端的温度为恒温,一般为室温或补偿后的0℃或25℃。
热电偶实验原理图如图25-1所示。K型热电偶接至差动放大器的输入端,经放大后输出电压由数字电压表显示。

图27-1 K型热电偶温度控制实验原理图
四、实验步骤
1、仔细阅读附录中的“温度控制仪表操作说明”,学会基本参数设定。
2、将温度控制用的热电偶插入加热室的一个传感器安置孔中,热电偶自由端引线插入实验台面板中的标准值输入端,红线为正极。
3、将加热源AC16V输出的两根电源线与加热室面板上的输入相连。
4、将转换电路板E、G两端短接并接地,接通电源,调节RP3使OUT2为零,然后断开E、G之间的短接线。
5、按照图27-1进行接线,测量用的K型热电偶放入加热源的另一个插孔中,两根引出线接至电路板上E、G两端,注意引出线带红色套管或红色线的为正极,接至E端,黑色线接至G端。
6、设定温度控制仪的给定值为50℃,接通加热开关,等待温度稳定时,调节Rw2使数字电压表指示值为K型热电偶50℃下分度值的100倍,以便读数(K型热电偶50℃时的分度值为2.022mV),重新设定温度给定值为52℃,等待温度稳定时记录下数字电压表读数,重复进行以上步骤,温度给定值每次增加2℃,将实验结果记入下表中。
表 27-1
五、实验报告
根据表27-1的实验结果,画出K型热电偶的特性曲线,并计算K型热电偶的非线性误差。
实验三十 铂热电阻的温度控制实验
一、实验目的
了解铂热电阻的特性与应用。
二、实验所用单元
加热室、K型热电偶、Pt100热电阻、温度控制单位、热电偶、热电阻传感器转换板、数字电压表、万用表(自备)
三、实验原理及电路
利用导体电阻随温度变化的特性,可以通过测量电路将电阻的变化转换为电压输出,达到测量温度的目的。热电阻用于温度测量时,要求其材料电阻温度系数大、稳定性好、电阻率高,电阻与温度之间最好呈线性关系。常用的有铂热电阻和铜热电阻,铂热电阻的阻值与温度的关系为:
Rt=R0(1+At+Bt2),其中Rt为温度t下的阻值,R0为0℃下的阻值,铂热电阻一般采用三线连接,其中一端接二根引线主要是为消除引线电阻对测量结果的影响。
铂热电阻实验原理图如图30-1所示。铂热电阻与R1、R2、R4组成直流电桥,经差动放大器放大后输出电压由数字电压表显示。

图30-1 铂热电阻温度控制实验原理图
四、实验步骤
1、按实验二十七的步骤①至③进行操作。
2、按照图30-1进行接线,铂热电阻的三根引线接至Rt输入的A、B两端上:用万用表欧姆档测出铂热电阻三根引线中短接的二根引线,将其接到B端。
3、将转换电路板E、G两端短接并接地,接通电源,调节RP3使OUT2为零。
4、将E、G两端按照图30-1接至桥路输出,调节RP1使电桥平衡,OUT2为零。
5、设定温度控制仪的给定值为50℃,将铂热电阻插入加热源另一个插孔中,接通加热开关,等待温度稳定时记录下数字电压表读数,重新设定温度给定值为52℃,等待温度稳定时记录下数字电压表读数,重复进行以上步骤,温度给定值每次增加2℃,将实验结果记入下表中。
表 30-1
五、实验报告
1、根据表30-1的实验结果,画出铂热电阻的特性曲线,并计算铂热电阻的非线性误差。
2、在选用热电阻时,需要考虑哪些因素?
实验三十五 压电加速度式传感器的特性实验
一、实验目的
1、了解压电加速度式传感器的基本结构。
2、掌握压电加速度式传感器的工作原理及应用。
二、实验所用单元
压电加速度式传感器(在振动台上)、压电加速度转换电路板、低频振荡器、振动台、直流稳压电源、数字电压表、示波器
三、实验原理及电路
压电式传感器是一种典型的有源传感器,其中有力敏元件,在压力、应力、加速度等外力作用下,压电介质表面产生电荷,从而实现非电量的测量。本实验采用的传感器的输出信号与传感器移动的加速度成正比,实验电路框图如图35-1所示。

图35-1 压电式传感器实验原理框图
四、实验步骤
1、将压电加速度式传感器振动台固定好。
2、观察传感器结构,其中包括双压电陶瓷晶片、惯性质量块、压簧、引出电极等,其中惯性质量块在传感器振动时,对陶瓷晶片产生正比于加速度的应变力,压电陶瓷晶片在些应变力的作用于输出正比于加速度的信号。
3、按图35-1接线,并将低频振荡器输出接至振动台小板上的振荡线圈。接通电源,观察输出波形。
4、调节振幅,比较在不同振幅下输出波形峰值的不同情况。
五、实验报告
分析为什么振幅越大,输出波形的峰值也越大?
实验三十九 压阻式压力传感器的特性实验
一、实验目的
1、了解扩散硅压阻式传感器测量压力的方法。
2、掌握扩散硅压阻式传感器及其转换电路的工作原理。
二、实验所用单元
压阻式压力传感器、压阻式压力传感器转换电路板、橡皮气囊、储气箱、三通连接导管、压力表、位移台架、直流稳压电源、数字电压表
三、实验原理及电路
扩散硅式压阻式压力传感器,在单晶硅的基片扩散出P型或N型电阻条,接成电桥。在压力作用下根据半导体的压阻效应,基片产生应力,电阻条的电阻率产生变化,引起电阻的变化,将这一变化引入测量电路,通过输出电压可以测量出其所受的压力大小。测量电路图39-1所示,其中RP1用于调节放大倍数,RP2用于调节零点。

图39-1 压力传感器实验电路图
四、实验步骤
1、固定好位移台架,将压力传感器放在台架的圆孔中。
2、将压力传感器上的插头连接至转换电路板上的插座。转换电路板的输出连接至数字电压表。
3、按照图39-2连接管路。

图39-2 压力传感器实验系统示意图
4、打开橡皮囊上的单向阀,接通电源,调节转换电路板上的RP2使输出电压为零。
5、拧紧单向阀,轻按加压皮囊,注意不要用力过大,使压力表显示30Kpa,调节RP1使输出电压为3V。
6、重复步骤4和步骤5,使得压力为0时输出电压为0V,压力为30Kpa时,输出电压为3V。
7、拧紧单向阀,开始加压,每上升2Kpa读取输出电压,并记入下表中。
表 39-1
五、实验报告
1、根据表39-1的实验数据,画出压力传感器的特性曲线,并计算精度与非线性误差。
2、如果测量真空度,需要对本实验装置进行怎样的改进?