-
1 相关知识
-
2 实训5-2

1.电容式传感器工作原理
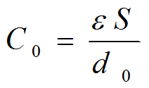
电容器有很多种,下面以图5-13所示的平行板电容器为例。根据电工常识,平行板电容器的电容(忽略边缘效应),可以用下式表示:
(5-8)
式中:

ε —极板间介质的介电常数;
ε = ε0εr, ε0 为真空中的介电常数,
εr为相对介电常数,
A —两平行板所覆盖的面积;
d —两平行板之间的距离;
C —电容量,单位为F; 图5-13 平行板电容器
平行板电容器的电容与面积、介电常数成正比,与极板间距成反比。故电容传感器可分为:变极距型、变面积型和变介电常数型三种。
(1)变极距型

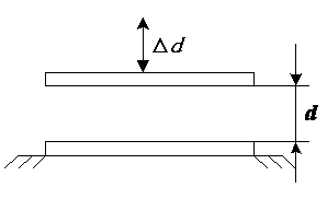
图5-14 变极距式电容传感器结构图
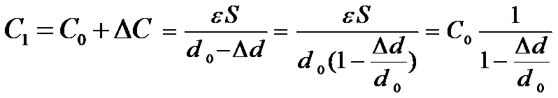
a)初始电容值
b)电容受外力作用,极距减小△d电容器容量变为:

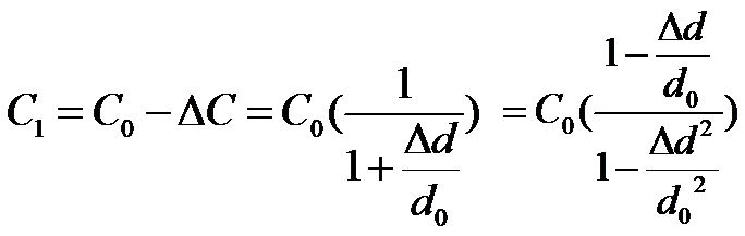
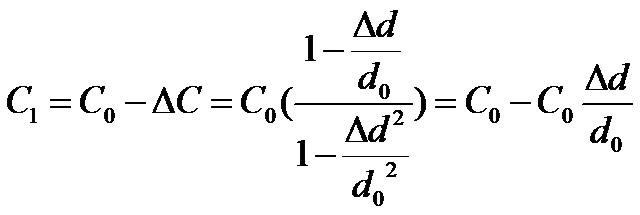
c)极距增加△d电容器容量变为:

若考虑△d/d0<<1时则:


灵敏度:

变极距式电容传感器的输出特性是非线性的,可用微机来计算修正。
为了提高传感器的灵敏度,减小非线性,常常把传感器做成差动形式。
差动形式变极距电容传感器

图5-16 差动变极距式电容传感器结构图
初始条件:

当动板上移△d后:

当动板下移△d后:
△c=c1-c2=-2c0△d/d0
灵敏度:

应用 :
变极距式电容式传感器,一般用来测量微小的线位移(小至0.01微米~零点几毫米),可以说当前微位移传感器大都采用电容传感器,并且它分辨力极高、无接触、反作用力。

电容式微位移传感器
(2)变面积型

a)平板型 b)同心圆筒型 c)角位移型
图5-17 变面积式电容传感器
1- 动极板 ; 2-定极板 ; 3-外圆筒 ; 4-内圆筒 ; 5- 导轨
变面积式电容传感器可以做成很多不同形状,如图5-17所示,可以做成平板型、同心圆筒型和角位移型。图中的前两种电容式传感器是测量直线位移的,最后一种是测量角位移的。
以第一种平板型为例,设两矩形极板间正对面积为A(ab),当动极板移动△X,则面积S发生变化,电容量也改变。
(5-12)
电容的变化量:
(5-13)
灵敏度:
(5-14)
结论: 1.变面积式传感器输出特性是线性的;
2.灵敏度是常数.
应用:
变面积型电容传感器还可以将极板加工为其它形状,以实现其它量的测量,但其原理、方法都是相同的,可见变极板面积型一般可用来测角位移(自一角秒至几十度)、较大线位移、尺寸等参量。

电容式角位移传感器
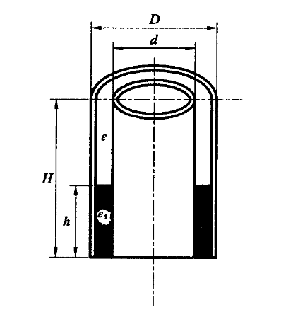
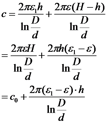
(3)变介电常数型
初始极板内介质介电常数为ε1,当某厚度为d2
的介质介电常数为ε2从左往右进入极板,进入
的距离为a,则电容量发生改变。
图5-18 变介电常数式电容传感器

表5-1 不同介质的介电常数

电容湿度计
广泛应用于测量介电材料的厚度、物位、固体介质的湿度。
电容液位计

电容式液位计结构图
(4)电容传感器的测量转换电路
① 交流电桥电路

(a)单臂接法 (b)差动接法
图5-20 交流电桥

电容传感器桥式转换电路构成测量转换系统框图
动极板未受外力作用时,交流电桥平衡,输出电压为零,当动极板向上运动时,假设此时C1减小,C2增大,交流电桥输出电压增大,且输出电压和输入电压Ui反相;反之动极板向下运动时,C1增大,C2减小,交流电桥输出电压绝对值增大,此时输出电压和输入电压Ui同相。如果需要辨别动极板的移动方向,我们也要将交流电桥的输出电压经过相敏检波电路输出。
② 调频电路

图5-21 调频电路
将电容式传感器作为LC振荡电路的一部分,或作为晶体振荡器中的石英晶体的负载电容。当电容传感器工作时,电容Cx发生变化,就使振荡器频率发生f产生相应的变化。由于振荡器频率受电容式传感器电容的调制,这样就实现了C/f的变换,故称为调频电路。
③ 运算放大器电路

采用集成运算放大器构成,将传感器电容接在运算放大器的反馈端,运算放大器的输出电压(以变极距式为例)

图5-22 运算放大器电路框图
解决了单个变极板距离式电容传感器的非线性问题 .







