磁电传感器
-
1 相关知识
-
2 实训4-3
上一节
下一节

1、工作原理
磁电式传感器利用电磁感应原理,利用导体和磁场发生相对运动而产生感应电势输出。它工作时不需要辅助电源,是一种有源传感器。
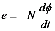
磁电感应式传感器工作原理为N匝线圈在磁场中作切割磁力线运动或线圈所在磁场的磁通发生变化时,线圈中所产生的感应电动势e为
(4-3)
当线圈垂直于磁场方向运动时,若以线圈相对磁场运动的速度V或角速度ω表示,则上式可写成
(4-4)
在磁电感应式传感器中,当结构参数确定后,B、L、N、S均为定值,因此感应电动势ω与V(或ω)成正比,可以通过测量感应电动势的大小来测量转速。
2、测量电路
磁电感应式传感器可以直接输出感应电动势,而且磁电感应式传感器通常具有较高的灵敏度,所以一般不需要增益放大器。磁电感应式传感器只用于测量动态量,可以测量振动物体的线速度和旋转物体的角速度。如果在测量电路中加入积分电路或微分电路,那么还可以测量位移或加速度。图4-24为磁电感应式传感器的测量电路方框图。






