传输线工作状态分析
上一节
下一节
传输线工作状态:
(1)行波状态(匹配状态):

(2)驻波状态(全反射状态,短路、开路、负载接纯电抗):
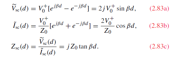
短路:


开路:


(3)行驻波状态(一般负载情况):

目录
传输线工作状态:
(1)行波状态(匹配状态):

(2)驻波状态(全反射状态,短路、开路、负载接纯电抗):
短路:


开路:


(3)行驻波状态(一般负载情况):
