第二节 纤维的分子结构和化学性质
纤维的内部结构(大分子结构、超分子结构)
纤维的三级结构:大分子结构,链结构;
超分子结构,聚集态结构;
形态结构。
纤维大分子结构:高聚物大分子都是由许多相同或相近的单基经过化学健或极性分子间的作用力结合而形成的长链分子。由于纤维材料的分子量很大,约在一万以上,因而被称为“大分子”或“高分子”。
纤维的超分子结构:又称为纤维材料的聚集态结构,或凝聚态结构。它是指高分子材料中大分子堆砌和排列的状态,主要包括大分子间的作用、凝聚状态和大分子的取向。
纤维形态结构:是指通过目视或显微镜观察所得到的纤维外在几何形貌,将该形貌抽象为具有某种特征的几何结构体用于表达纤维的形貌,即为纤维的形态结构。
所谓形态结构是指纤维中尺寸比较大的的分子敛集结构特征,这可在光学显微镜或电子显微镜下或用肉眼直接观察到。如纤维的各级微观结构、纤维的断面形状、纵向特征、以及纤维中存在的各种缝隙、孔洞等。
纺织纤维的分子都很大,常由数百至数万原子组成,称为大分子。
纺织纤维的大分子一般为直线形长链,其链节可以是完全相同的(如纤维素、聚乙烯等),也可是基本相同的(如蛋白质等)。这种链节称为“单基”。
一个大分子中具有单基的数量称为“聚合度”。
柔曲性:分子链节转动(弯曲、伸直)的特征。
大分子的结合力:分子引力(范德华力)、氢键、盐式键、化学键。
纺织纤维中大分子有规律地整齐排列的状态叫结晶态;纺织纤维中呈现结晶态的区域叫结晶区。纺织纤维的结晶区中,由于大分子排列比较整齐密实,缝隙孔洞较少,分子之间互相接近的各个基团的结合力互相饱和,因而纤维的吸湿较困难,强度较高,变形较小。
非晶态(无定形态):大分子不呈结晶态那样规则整齐排列的各种聚集态。
纺织纤维是结晶态和非结晶态的混合物,从整根纤维来看,表现出两方面的特征:第一是大分子排列方向和纤维方向的关系。大分子排列方向与纤维轴向符合的程度叫“取向度”。第二是纺织纤维中结晶区的比例用“结晶度”来表达。结晶度一般是指结晶区的体积占纤维总体积的百分数。
一、纤维素纤维的分子结构和化学性质
棉、麻、再生纤维素纤维
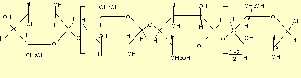
(C6H10O6))n 分子式

结构特点:
1) 环上三个亲水官能团— -OH羟基,反应活性点 ,纤维素纤维具有优良的吸湿性
2) 环间—O—,酸分解之,碱稳
3) 链端:有一隐-CHO,M低还原性
4) 链刚性,H-键多,强度高
5)聚合度比较高
纤维素分子化学性质
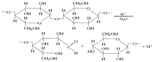
1、与酸作用
酸促使苷键水解:(反应式)


酸作用情况
酸使纤维素纤维织物初始手感变硬,然后强度严重下降。不耐酸
纤维结构、酸的种类、作用时间、温度、纤维结构影响水解反应速率。
生产上应用:含氯漂白剂漂白后,稀酸处理,起进一步漂白作用;中和过剩碱;烂花、蝉翼等新颖印花处理。
用酸注意:稀酸、低温、洗净,避免带酸干燥。
2、与氧化剂作用
纤维素氧化后分子断裂,基团氧化变化,织物强度损伤。
纤维素分子对不同氧化剂作用有不同的敏感程度。
强氧化剂完全分解纤维素。中、低强度氧化剂在一定条件下氧化分解纤维素能力弱,可用来漂白织物。注意:空气中O2在强碱、高温条件易氧化、脆损纤维素织物,应避免。
氧化反应: Cell-OH + [O] Cell-CHO, Cell-C=O, Cell-COOH
氧化纤维素:还原型— -CHO,=C=O,潜在损伤
酸型— -COOH
注:纤维素分子对还原剂稳定。


3、与碱的作用
常温稀碱中稳定,浓碱溶胀,高温稀碱有氧气易氧化、断裂苷键,强力下降。 耐碱
浓碱溶胀:各向异性、不可逆。
径向溶胀大,纵向小
反应:(酸性)纤维素分子与碱拟醇钠反应
C2H5OH + NaOH=C2H5ONa + H2O
Cell-OH + NaOH=Cell-ONa+ H2O ;or
Cell-OH﹡NaOH
反应可逆,水洗除碱,恢复纤维素分子,但纤维素纤维高层次结构被变化、不可逆---是棉织物丝光、碱缩处理理论根据。
4、纤维素分子其它反应
A)酯化反应-- 醋酯纤维的原料
纤维素分子与(羧)酸类物质反应生成酯:

纤维素分子形成磷酸酯后能使织物具有阻燃性;与醋酸酐反应生成纤维素醋酸酯是制造人造纤维——醋酯纤维的原料。
B)醚化反应--羧甲基纤维素钠

纤维素分子与氯乙酸在碱性条件下的反应产物称羧甲基纤维素钠,可用作纺织浆料和增稠剂;与缩水甘油三甲基氯化铵反应后形成阳离子衍生物,使纤维素纤维织物在用阴离子染料染色和其它染料染色时上染率和染色牢度大为提高,同时兼有抗静电、抗菌、防霉等功效,用于难染色的苎麻纤维织物上尤其有效。
C)加成反应

纤维素分子与上述试剂反应后,氰乙基化产物使纤维素纤维织物具有防腐性,氨基甲酰乙基化产物使纤维素纤维织物对活性染料染色反应性提高,乙烯砜型加成产物其本身就是乙烯砜型活性染料染色反应时与纤维素纤维进行共价键结合反应的一步。
D)接枝反应

M:

接上丙烯酸后,纤维素纤维织物就可用阳离子染料染色和印花,耐洗牢度和颜色都有较好的效果。
人造纤维的起源故事
代表人物:法国人夏尔多内(Hilaire de Chardonnet)
“人造纤维工业之父”夏尔多内
人造纤维是利用天然的纤维作为原料,在进行化学处理后调配成恰当的纺织溶液,之后再重新塑形为纤维。
1855年,一位名叫安德曼斯(Georges Audemars)的瑞士化学家在英格兰做了个实验。他利用硝酸处理了桑叶纤维,使它们生成硝化纤维素,然后将它们溶解入酒精等有机溶剂中,配成粘液。之后,他将针头浸入粘液里,挑出了细长的丝线。不过,安德曼斯的方法并不实用,这样获得的纤维也不能应用于纺织。1884年,法国人夏尔多内(Hilaire de Chardonnet)正在辅助他的老师、著名的细菌学家巴斯德研究在法国肆虐的某种蚕病,这种蚕病会令蚕丝的产量锐减。就在研究过程中,夏尔多内思考着,为什么我们必须要依赖这些渺小的蚕呢?难道智慧的人类还不能满足自己的织物需求吗?
夏尔多内首先将硝化纤维素投入酒精和乙醚中溶解,得到一种叫做火棉胶的粘液,在直径1毫米的小孔中加压挤压,并使之在热空气中凝固。酒精和乙醚最终会挥发掉,小孔中挤压出了一种连绵不断的细丝,这就是有史以来第一根真正意义上的人造纤维。“蚕能够做到的,人也能做到!”夏尔多内非常高兴。他一直认为必须要模仿蚕的生产过程,所以他坚持使用桑叶作为人造纤维的原料。实际上,其他木纤维也是可以的。夏尔多内极其敏锐地认识到人造纤维的商业价值,于是他辞掉了巴斯德那里的研究工作,专心致志地开发起这种新型材料来。很快,在1889年,夏尔多内实现了人造纤维(他命名为“夏尔多内纤维”)的商业化生产,并于同年在巴黎博览会上展示。这种不凡的、柔软而鲜亮的面料获得了追求时尚的法国贵族们的一片赞叹。
但危机就潜伏在夏尔多内纤维光鲜亮丽的外表下。被喜悦冲昏头脑的人们忘记了硝化纤维素原本是一种火药,它们极其易燃;赶时髦的女士们很快穿上了这种划时代的新衣裳,在一次宴会上,悲剧出其不意地发生了——正当人们围着一位穿着人造丝裙子、洋洋得意的女士赞扬时,观众抽的烟草的火星落到了裙子上,衣服立即熊熊燃烧了起来,将那位尊贵的女士无情地吞噬了。当营救人员赶到时,那位女士已经不幸身亡。
如果换了别人,或许会从此一蹶不振,但夏尔多内没有放弃。在努力试验过后,他成功地去除了硝化纤维素中的易燃物质,制造出了安全的人造丝。1891年,他在法国创立了夏尔多内丝织品公司,从此被誉为“人造纤维工业之父”。不过这个时候的人造丝并没有满足最初设想者“人人都用得起”的愿望,它们太贵了,比天然的、最高级的蚕丝都要贵。在夏尔多内之后,涌现了许多的后来者,大家纷纷各显神通,不断用新的创造发明来降低制造成本,不断的市场竞争令人造纤维迅速地朝价廉物美的方向飞驰。
除了硝化纤维素之外,人造纤维还有许多不同的品种,制备工艺也大有不同。1899年,德国人奥北布奇(Oberbruch)首先用铜氨法生产铜氨纤维,并设立了公司实现了工业化,铜氨法主要采用价格较高的铜氨作为溶剂,在成本上无法与传统的硝酸纤维竞争,因此只用于少数高级纺织品和医学人工肾。
20世纪初期开始,还出现了各种人工蛋白质纤维。1904年,药剂师托登汉(F. Todtenhaupt)发明了一种从牛奶中提炼酪素蛋白质以制备酪素蛋白质纤维的方法。不过这个技术直到30年代才在意大利发展成熟。1938年至1948年,英国、美国、日本相继利用牛奶、花生、大豆、玉米等常见农作物合成了蛋白质纤维。这些蛋白质纤维又被称为人造毛,它们和羊毛特别像,而且拥有比天然羊毛更加优越的性能:它们不易皱缩、不易虫蛀,便于保存,唯独保暖性较之欠缺一些。不过,它们最终没有被推广成功——成本还是太高了。人造纤维已经能够完美模拟棉、麻、丝、毛的手感,它们更容易上色,而且效果更加鲜艳;它们不仅柔软、顺滑、凉爽,还能隔热,所以在酷热且湿润的环境里,它们通常是制衣首选的面料
二、蛋白质纤维的分子结构和化学性质
蛋白质分子构成的纤维 :天然 动物 、人造、 植物(大豆)
蛋白质高分子的单元结构是氨基酸残基(下式左):

α-氨基酸
接上丙烯酸后,纤维素纤维织物就可用阳离子染料染色和印花,耐洗牢度和颜色都有较好的效果。
纤维蛋白质分子的构成主要有C、H、O、N、S五种元素。
蛋白质的三级结构
* 蛋白质分子中氨基酸序列结构称为蛋白质分子的一级结构 、或初级结构:

* 蛋白质分子空间构象有几个层次,分别称为蛋白质的二级结构 :

蛋白质的第三级结构:
多肽链侧基之间因氢键等相互作用使多肽链进一步盘旋和折叠,整个分子所形成的不规则的特定构象。

蛋白质副键图:
﹡蛋白质分子副键:由分子主链、侧基的极性或非极性基团、离子基团相互作用而成。由于副键数量众多而能稳定蛋白质分子空间构象。副键种类如下图:

蛋白质分子的化学性质
1、蛋白质两性性质:

等电点:蛋白质分子上正、负电荷数量相等时溶液的pH值,不会向电极移动。羊毛的~: 4.2-4.8, 桑蚕丝的~:3.5-5.2。等电点时纤维溶胀、溶解度最低。
低pH值时: pH内>pH外 NH3+ H+
高pH值时: pH内<pH外 -COO- OH-
酸碱浓度高或盐多时,内外pH一致。
羊毛反应
官能团:-NH2氨基、-COOH羧基 亲生基团,优良的吸湿性能
2、与酸 耐酸
,pH2-4沸染,H2SO4炭化除草。高浓酸,损伤羊毛:水解、氨离子化、离子键拆开。
3、与碱 碱使羊毛严重损伤、变黄、溶解、含S降低:主链水解、氨基酸水解、离子键拆开、二硫键断开重接。不耐碱

4、与还原剂 羊毛二硫键、离子键被还原剂断开,羊毛损伤
5、与氧化剂 强氧化剂分解羊毛,中强氧化剂对羊毛有损伤作用,控制条件可漂白羊毛:NaClO, H2O2
6、蛋白质与其它物质作用
水:长时间高温条件下可发生水解作用
盐水:促进蛋白质纤维溶胀或溶解,浓的CaCl2、Ca(NO3)2处理蚕丝,盐水会使纤维急剧收缩;碱式ZnCl2等溶液能使丝纤维溶解。
改性反应:有羟基、酚羟基、羧基和氨基等
(1)蚕丝纤维甲基化使丝活性基团变成不活泼基团,抑制丝泛黄,甲基化试剂为重氮甲烷(CH2N2):


化学性质依分子结构而定,聚醚软段型氨纶耐酸性好,但在稀HCl、H2SO4中会发黄;聚酯软段型氨纶耐酸性好,但在热碱中会快速水解。氨纶染色性能同锦纶相似。
(2)蚕丝纤维酰基化可使丝弹性、绝缘性改善,吸湿性降低

(3)蚕丝甲醛交联可提高丝耐碱性、湿强度:
![]()

三、合成纤维的分子结构与化学性质
(一)、涤纶纤维 聚对苯二甲酸乙二醇酯纤维( 涤纶PET)
涤纶分子结构:
分子式

学名:聚对苯二甲酸乙二醇酯纤维、聚酯纤维
分子结构只有弱极性基团,吸湿性差、染色性差。
-COO-酯基具有反应性,如水解;但苯基、亚乙基稳定,故涤纶稳定性好。-OCH2CH2O-具柔性,故可折叠。
分子线性、规整,分子聚集时容易紧密堆积(结晶),使纤维形状、强度好。
官能团:酯基-COO- 、羟基
大分子无卷曲,基本上是带曲折状的直链
涤纶高分子的化学性质
主要由酯基决定,在强酸、强碱性溶液中酯基会发生水解反应使分子链断裂:

碱性水解应用:涤纶碱剥皮对氧化剂、还原剂的耐受性比较好,化学性质稳定.涤纶分子的结构和化学性质
(二)锦纶 聚酰胺纤维(锦纶尼龙)
锦纶6是由己内酰胺开环聚合而成,锦纶66是由己二胺和己二酸缩聚而成,此外还有锦纶610、锦纶1010等
锦纶大分子结构
锦纶6
锦纶66

官能团:有极性基团—CONH—;
—NH2;—COOH;
单基较长,无支链,属柔性基团
学名:聚酰胺纤维

锦纶的化学性质
比较稳定,主要在酰胺基和分子两端基团上发生反应。
水:对锦纶没有什么影响。
碱:锦纶水解也不严重,耐碱性较好。
酸:稀酸溶液中锦纶水解不严重,因此稀酸对锦纶损伤不重,但在浓HCl溶液中,锦纶分子水解、溶解,锦纶纤维强度下降。
氧化剂:较为敏感,接触氧化剂时发生降解破坏,纤维强度受损。
酰胺、R基结构:用酸性染料染色;阳离子染料染色;还因为锦纶分子的非极性部分链比例大,可用分散染料染色 。具有4%的吸湿率 。
(三) 腈纶 聚丙烯腈纤维(腈纶PAN)
聚丙烯腈纤维的分子的结构和化学性质
分子式

第一单体(~85%) 第二单体(5~10%) 第三单体(1~3%)
属于无规共聚物
第一单体:只有第一单体,纤维性能不好,脆、弹性手感差、不易染色
第二单体:改善纤维结构,减弱氰基之间的作用力,
第三单体:结合染料基团,利于染色。
学名:聚丙烯腈纤维
3、腈纶 聚丙烯腈分子的化学性质其分子主链全是碳元素构成,稳定;侧基是氰基(—CN)和其它基团,具有化学反应性。
酸:耐酸能力强。
碱:对弱碱也不敏感,但在高温强碱溶液中,由于OH- 催化—CN水解的能力很强,使腈纶纤维失重、发黄、溶解:

氧化剂:不敏感,可用H2O2、NaClO2漂白腈纶纤维。
还原剂:也不反应,可用NaHSO3、Na2SO3、保险粉漂白腈纶纤维。
高温热处理:能进行重排环化反应,形成碳纤维。
腈纶分子的氰基(—CN)能吸收光紫外线转化为热能,所以腈纶耐日光性和耐气候性很好。
(四)丙纶 聚丙烯纤维(丙纶PP)
分子式 
化学惰性:酸和碱不反应,酒精、乙醚等极性溶剂不能溶解,但有机烃类非极性溶剂能溶解纤维态丙纶分子。丙纶分子对强氧化剂作用亦敏感,会降解;受热容易发生热氧化降解,在有水、氧条件下,如果纤维中有痕量金属(铜、铁等),发生光敏降解很快速,因而使丙纶纤维耐光性能很差。
丙纶分子上没有可留驻染料的基团,丙纶纤维染色很困难,分散染料染色也只能得很淡颜色,只能用其它上色方法,如熔体染色等。
无亲水基团,不吸水、染色很困难
分子式

在合成纤维中吸湿性最高。吸湿率为4.5% ~ 5%
维纶分子的化学性质由—OH决定,纤维耐酸、碱性优良,在溶剂苯酚、间甲苯酚中溶胀,溶于80%、55℃甲酸;由于羟基多,染色性能近似于纤维素纤维。
在高湿条件下容易热裂解;高温时,羟基被氧化,脱水引起纤维损伤泛黄。
(六)氯纶 聚氯乙烯纤维(氯纶PVC)
分子式
将含氯量约57%的氯乙烯均聚物溶解在丙酮-二硫化碳或丙酮-苯等混合溶剂中经纺丝制成的合成纤维。聚氯乙烯纤维的中国商品名。1946年德国首先研制成功聚氯乙烯纤维,以商品名佩采乌(PCU)投放市场。1950年法国也生产出聚氯乙烯纤维,称为罗维尔。氯纶原料易得,成本低廉。产品形式有复丝、短纤维和棕丝等。纤维密度约1.4克/厘米3,强度约3克/旦,断裂延伸度12%~28% 。它具有难燃、耐酸碱、耐气候、抗微生物、耐磨,以及较好的保暖性和弹性等特点,但经不起熨烫、不吸湿、静电效应显著,染色较困难。氯纶常用于制作防燃的沙发布、床垫布和其他室内装饰用布,耐化学药剂的工作服、过滤布、针织品以及保温絮棉衬料等。
(七)氨纶 聚氨酯纤维(Polyurethane)(氨纶/莱卡/PU)
学名:聚氨酯纤维(Polyurethane)
氨纶纤维共有两个品种:
1、由芳香二异氰酸酯和含有羟基的聚酯链段的嵌段共聚物(简称聚酯型氨纶);
2、由芳香二异氰酸酯与含有羟基的聚醚链段的嵌段共聚物(简称聚醚型氨纶)。
聚酯型氨纶
先取过量的二元醇与己二酸反应,生成相对分子量1000~5000,端基为羟基的聚酯

嵌段共聚物
含-N=C=O的预聚物
嵌段共聚物



1855年,一位名叫安德曼斯(Georges Audemars)的瑞士化学家在英格兰做了个实验。他利用硝酸处理了桑叶纤维,使它们生成硝化纤维素,然后将它们溶解入酒精等有机溶剂中,配成粘液。之后,他将针头浸入粘液里,挑出了细长的丝线。不过,安德曼斯的方法并不实用,这样获得的纤维也不能应用于纺织。1884年,法国人夏尔多内(Hilaire de Chardonnet)正在辅助他的老师、著名的细菌学家巴斯德研究在法国肆虐的某种蚕病,这种蚕病会令蚕丝的产量锐减。就在研究过程中,夏尔多内思考着,为什么我们必须要依赖这些渺小的蚕呢?难道智慧的人类还不能满足自己的织物需求吗?
夏尔多内首先将硝化纤维素投入酒精和乙醚中溶解,得到一种叫做火棉胶的粘液,在直径1毫米的小孔中加压挤压,并使之在热空气中凝固。酒精和乙醚最终会挥发掉,小孔中挤压出了一种连绵不断的细丝,这就是有史以来第一根真正意义上的人造纤维。“蚕能够做到的,人也能做到!”夏尔多内非常高兴。他一直认为必须要模仿蚕的生产过程,所以他坚持使用桑叶作为人造纤维的原料。实际上,其他木纤维也是可以的。夏尔多内极其敏锐地认识到人造纤维的商业价值,于是他辞掉了巴斯德那里的研究工作,专心致志地开发起这种新型材料来。很快,在1889年,夏尔多内实现了人造纤维(他命名为“夏尔多内纤维”)的商业化生产,并于同年在巴黎博览会上展示。这种不凡的、柔软而鲜亮的面料获得了追求时尚的法国贵族们的一片赞叹。
但危机就潜伏在夏尔多内纤维光鲜亮丽的外表下。被喜悦冲昏头脑的人们忘记了硝化纤维素原本是一种火药,它们极其易燃;赶时髦的女士们很快穿上了这种划时代的新衣裳,在一次宴会上,悲剧出其不意地发生了——正当人们围着一位穿着人造丝裙子、洋洋得意的女士赞扬时,观众抽的烟草的火星落到了裙子上,衣服立即熊熊燃烧了起来,将那位尊贵的女士无情地吞噬了。当营救人员赶到时,那位女士已经不幸身亡。
如果换了别人,或许会从此一蹶不振,但夏尔多内没有放弃。在努力试验过后,他成功地去除了硝化纤维素中的易燃物质,制造出了安全的人造丝。1891年,他在法国创立了夏尔多内丝织品公司,从此被誉为“人造纤维工业之父”。不过这个时候的人造丝并没有满足最初设想者“人人都用得起”的愿望,它们太贵了,比天然的、最高级的蚕丝都要贵。在夏尔多内之后,涌现了许多的后来者,大家纷纷各显神通,不断用新的创造发明来降低制造成本,不断的市场竞争令人造纤维迅速地朝价廉物美的方向飞驰。
除了硝化纤维素之外,人造纤维还有许多不同的品种,制备工艺也大有不同。1899年,德国人奥北布奇(Oberbruch)首先用铜氨法生产铜氨纤维,并设立了公司实现了工业化,铜氨法主要采用价格较高的铜氨作为溶剂,在成本上无法与传统的硝酸纤维竞争,因此只用于少数高级纺织品和医学人工肾。
20世纪初期开始,还出现了各种人工蛋白质纤维。1904年,药剂师托登汉(F. Todtenhaupt)发明了一种从牛奶中提炼酪素蛋白质以制备酪素蛋白质纤维的方法。不过这个技术直到30年代才在意大利发展成熟。1938年至1948年,英国、美国、日本相继利用牛奶、花生、大豆、玉米等常见农作物合成了蛋白质纤维。这些蛋白质纤维又被称为人造毛,它们和羊毛特别像,而且拥有比天然羊毛更加优越的性能:它们不易皱缩、不易虫蛀,便于保存,唯独保暖性较之欠缺一些。不过,它们最终没有被推广成功——成本还是太高了。人造纤维已经能够完美模拟棉、麻、丝、毛的手感,它们更容易上色,而且效果更加鲜艳;它们不仅柔软、顺滑、凉爽,还能隔热,所以在酷热且湿润的环境里,它们通常是制衣首选的面料

